產品目錄
91看片儿免费看
液體流量計
91看片视频免费
油流量計
91看片网站下载
橢圓齒輪流量計
電磁流量計
渦街流量計
蒸汽流量計
孔板流量計
旋進旋渦流量計
熱式氣體質量流量計
轉子流量計
浮子流量計
靶式流量計
氣體流量計
超聲波流量計
磁翻板液位計
浮子液位計
浮球液位計
玻璃管液位計
雷達液位計
超聲波液位計
投入式液位計
壓力變送器
差壓變送器
液位變送器
溫度變送器
熱電偶
熱電阻
雙金屬溫度計
推薦產品
聯係91看片下载免费观看
- 金湖91看片下载免费观看儀表有限公司
- 聯係電話:15195518515
- 在線客服:1464856260
- 電話:0517-86801009
- 傳真號碼:0517-86801007
- 郵箱:1464856260@qq.com
- 網址:http://www.zhongtaijixie.net
- 地址:江蘇省金湖縣理士大道61號
常用流量計在煤層氣井生產測井中應用分析
發布時間:2021-01-17 15:38:59 點擊次數:2433次
摘要:煤層氣生產測井正處於探索階段,還沒有成熟的測井儀器。本文分析了煤層氣井生產測井條件及要求,對常用的渦輪流量計、電磁流量計、超聲波流量計、放射性示蹤流量計做了適用性分析。
1、煤層氣井生產測井條件及要求
煤層氣井生產測井儀器是從油管與套管的環形空間下人並進行測井的。煤層氣的排采設備分為遊梁式抽油機、傾斜式環形齒條抽油機、螺杆泵采油裝置和電潛螺杆泵采油裝置,其中應用*多的是遊梁式抽油機。對於前兩種排采設備隻要安裝了偏心井口就可以解決儀器下入問題。對於後兩種排采設備改進後才能進行生產測井。
煤層氣井油管下入深度有三種。*一種:油管在產層之上,這時煤層氣和水都是向上運動的;*二種:油管下端在產層中部,這種情況下煤層氣向上運動,篩管之上的水向下運動,篩管之下的水向上運動;*三種:油管下過了產層,這種情況下煤層氣仍然向上運動,水則向下運動。
煤層氣產水量一般為2~lOOm3/d,產氣量一般為0~3000m3/d。按照相關要求,煤層氣生產測井儀器水流量測量範圍為5~100m3/d,測量精度為10%;氣測量範圍為50~50Om3/d,精度為15%。
2、現有流量計適用性分析
2.1 渦輪流量計
智能91看片网站下载利用渦輪轉速的高低測量井內流體的速度。它分為集流式流量計和非集流式流量計。集流式流量計不能用於油管下過射孔層的井,這裏不做討論。
圖1是哈裏伯頓公司高靈敏度流量計靜態響應曲線。從圖1可以看出,該儀器在水中的啟動速度為3.5ft/min,在氣中的啟動速度為50ft/min。哈裏伯頓公司高靈敏度流量計在水中的測量精度為lft/min,由此得出該儀器在水中測量精度與啟動速度的關係為1:3.5。據此估算,該儀器在氣中的測量精度約為50/3.5=14ft/min。進而得到,此儀器在水中的測量精度與氣中測量精度的比值約為1:14。

對於非集流式流量計,儀器直徑越小,渦輪直徑越小,渦輪啟動排量越大,儀器測量精度越低。哈裏伯頓公司高靈敏度流量計殼體直徑為38mm,燈籠罩直徑43mm,渦輪直徑34ram。煤層氣生產測井如果使用渦輪流量計隻能選用直徑25mm左右的儀器,其渦輪直徑約為20mm。因此其精度遠低於哈裏伯頓公司高靈敏度流量計。吉爾哈特公司曾生產過直徑25.4mm的儀器,它在水中的測量精度為2.6ft/min,在5—1/2英寸的套管中折合的產量精度為13.8m3/d。利用上麵的方法估算,該儀器在氣中的測量精度約為2.6×14=36.4ft/min,在5-1/2英寸的套管中折合的氣產量精度為633m3/d。可以看出,該儀器對於水和氣的測量精度均不能達到煤層氣井測井的要求。
2.2 電磁流量計
假設X、Y、z為互相垂直的三個軸,當導電液體沿X方向流動時,在Y方向上加上磁場,導電液體中的正負離子受到洛侖茲力的作用,會在Z方向上產生相反的運動並形成感生電動勢,感生電動勢的大小與導電液體的流量成正比。這就是電磁流量計的測量原理。電磁流量計主要用於測量電導率大於10^-7s/m的單相流體,它不適用於氣體和含有較大氣泡液體的測量。這就否定了該儀器在煤層氣井生產測井中的應用。
2.3 超聲流量計
超聲波在流體中傳播時,將附帶上流體流速的信息。順流和逆流傳播速度由於疊加了流體速度而不同,因此通過接收到的超聲波信號,就可以計算出流體的速度或流量。生產測井采用的超聲波流量計主要采用多普勒法和傳播速度法。
2.3.1 多普勒法
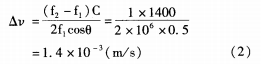
多普勒法是利用聲學多普勒原理確定流體速度。多普勒原理是若聲源和目標之間有相對運動,會引起聲波在頻率上的變化,頻率變化正比於運動的目標和靜止的換能器之間的相對速度。圖2是超聲多普勒流量計示意圖。發射晶體T1發射的超聲波遇到流體中運動的顆粒或氣泡反射回來由接收晶體R1接收,發射信號與接收信號的多普勒頻率偏移與流體速度成正比。忽略管壁影響,假設流體沒有速度梯度且粒子是均勻分布的,可得:

式中:v**體速度;f一晶體T1的發射頻率;f2一晶體R1接收的頻率;θ一超聲波束與流體流向之間的夾角;C一聲速。

假設發射晶體T1的發射頻率f1為1MHz,θ角為6O°,頻率差f1一f2的測量精度為1Hz,聲波在水中的傳播速度為1400m/s,則多普勒法在水中的速度測量精度為:

因此,從理論上推算多普勒法的測量精度完全可以滿足煤層氣井生產測井的要求。
以上討論的是單相流體且流體做水平方向運動的情況。在煤層氣生產測井中存在氣、水兩相流體,並且流體是沿井筒方向上下運動的,水和氣存在滑脫。水中氣泡反射回來的信號頻率與氣體的流速有關,這是主要的反射信號;水中顆粒反射回來的信號頻率與水的流速有關。因此,氣、水兩相流體反射回來的信號至少是兩種頻率信號的疊加。如何從這一反射信號中分別得到氣和水的流速是一個需要深入研究的問題。
2.3.2 傳播速度法
超聲波順流傳播時速度高,逆流傳播時速度低,順流與逆流的速度差與被測流體的速度有關,這就是傳播速度法的依據。根據測量參數的不同,傳播速度法可分為時差法、相位法和頻差法。
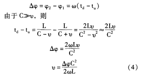
如圖3所示。設兩個換能器之間的距離為L,聲波的傳播速度為C,流體的速度為v,如果儀器靜止,則聲波向上傳播的時間為

向下傳播的時間為

上下兩個換能器進行交替發射和測量得到

由於ta、td的測量較為複雜。因此也可以采用相位差法。向上傳播的相位差ψ1=ωtu,向下傳播的相位差ψ2=ωtd,則

因此通過測量相位差△ψ可以得到流體的速度v。
現在投入規模生產的超聲波流量計多數采用相位差法,它主要用於注水井的測量。該儀器在油管中,水的啟動排量2m3/d,測量範圍2~1000m3/d,測量精度2.5%。按照截麵積推算,該儀器在5—1/2英寸的套管中啟動排量約為10m3/d,測量範圍為10~200m3/d。如果經過特殊設計,超聲波流量計啟動排量還會降低。假設僅用於單相水的測量,超聲波流量計應當可以滿足煤層氣測井的要求。然而,煤層氣井生產測井屬於氣、水兩相流測量,時差或相位差是水流速、氣體流速、聲波在水中傳播速度、聲波在氣體中傳播速度和氣水比的函數。如何在這種複雜關係中求得水流速和氣體流速,還需要做大量的研究和實驗工作。
2.4 同位素示蹤流量計
同位素示蹤流量計由伽馬儀器和示蹤儀構成。示蹤儀中裝有同位素液體,測井時伽馬與示蹤儀需要組合下井。示蹤儀中釋放出的同位素隨井中液體移動,當同位素到達伽馬探頭附近時,伽馬儀器計數率增高。地麵儀器記錄同位素發射和同位素到達伽馬探頭的時間,結合同位素噴射孔到伽馬探頭之間的距離就可以計算出井中液體的流速。在5—1/2英寸套管中,示蹤流量計對水流量的測量下限為2m3/d。在2—100m3/d的測量範圍內,測量精度可以滿足10%的要求。示蹤儀中使用的同位素密度與水的密度接近,在煤層氣井氣水兩相流狀態下,氣體對同位素的攜帶能力較差。因此,示蹤流量計所測得的流速應當是水的流速,再結合持水率就可以得到產水量。當然,煤層氣井中的氣體對示蹤劑會有攪拌作用,這會加快同位素的擴散,從而不利於示蹤劑的測量。如果在同位素中加入增黏劑,會減緩同位素的擴散。
3、結論
通過以上分析,可知渦輪流量計測量精度不能滿足煤層氣生產測井的要求;電磁流量計不能適用於煤層氣測井的條件;超聲流量計測量精度和範圍理論上能夠用於煤層氣生產測井,它可以用於單相氣或水流量的測量,對於氣、水兩相流則需要做大量的試驗和研究工作;同位素示蹤流量計可以用於單相水的測量。

