產品目錄
91看片儿免费看
液體流量計
91看片视频免费
油流量計
91看片网站下载
橢圓齒輪流量計
電磁流量計
渦街流量計
蒸汽流量計
孔板流量計
旋進旋渦流量計
熱式氣體質量流量計
轉子流量計
浮子流量計
靶式流量計
氣體流量計
超聲波流量計
磁翻板液位計
浮子液位計
浮球液位計
玻璃管液位計
雷達液位計
超聲波液位計
投入式液位計
壓力變送器
差壓變送器
液位變送器
溫度變送器
熱電偶
熱電阻
雙金屬溫度計
推薦產品
聯係91看片下载免费观看
- 金湖91看片下载免费观看儀表有限公司
- 聯係電話:15195518515
- 在線客服:1464856260
- 電話:0517-86801009
- 傳真號碼:0517-86801007
- 郵箱:1464856260@qq.com
- 網址:http://www.zhongtaijixie.net
- 地址:江蘇省金湖縣理士大道61號
高精度汽油流量計安裝時直管段長度與測量精度的關係
發布時間:2021-01-09 17:50:59 點擊次數:1992次
在流量計測量過程中,直管段有時是一個對於測量精度有著非常重要影響的因素,對直管段有要求的儀表主要有電磁流量計、高精度汽油流量計、渦街流量計、阿牛巴和孔板等,對直管段的要求大部分都是前5後3。 現在大部分電磁流量計采用非均勻電磁場對流體流速分布的軸對稱性要求較低,因此電磁流量計可以適當減少;而渦街流量計,阿牛巴和孔板對流體流速分布要求比較嚴,若無法滿足直管段要求可能導致無法測量。這裏我就渦街流量計闡述,項目施工的時候沒按設計要求進行,結果直管段要求沒達到,水聯動試驗的時候測量就不是誤差了,那簡直就是不準,過水200公斤,*後測量是1100公斤,後來改完直管段之後就沒問題了,相信應該知道直管段的重要性了吧。
對於測量精度和誤差影響91看片下载免费观看也沒有實際的經驗數據,如果測量參數用於過程控製,在工藝能夠接受的範圍內的誤差都是可以的,如果是用於計量,如水,天然氣,油等則應達到其標稱精度,另外用於計量的儀表計量局會對其進行驗收,不達標的不會通過。
如果有條件建議直管段留長一些。
一般孔板的為前10D後5D,也有為前24D後7D的時候,*好是前直管段30~50D為好
高精度汽油流量計為前15D後5D
渦街流量計為前15-20D後5D
對於質量流量計無特殊要求
轉子、橢圓齒輪流量計也無特殊要求
不過一般直管段*好是有,長度盡可能的長。

高精度汽油流量計是一種速度式流量儀表,由於具有結構緊湊、測量精度高、反應速度快、測量範圍廣、價格低廉和安裝方便等優點,而得到廣泛應用。對於貿易結算計量,流量計的精確度是至關重要的。
高精度汽油流量計在測量過程中對直管段的一般性要求為:流量計必須水平安裝在管道上(管道傾斜在5以內),安裝時流量計軸線應與管道軸線同心,流向要一致。 流量計上遊管道長度應有不小於2D的等徑直管段,如果安裝場所充許建議上遊直管段為20D、下遊為5D。
影響高精度汽油流量計精度的主要外部因素是流體的流動狀態,高精度汽油流量計特性曲線要保持良好的線性關係,流過流量計的流體應為充分發展的流型。對流量計的精度和直管段的預測,為不同精度要求的高精度汽油流量計選擇適當長度的直管段提供了理論參考。
影響高精度汽油流量計精度的主要外部因素是流體的流動狀態,高精度汽油流量計特性曲線要保持良好的線性關係,流過流量計的流體應為充分發展的流型。
1.旋轉係數與下遊直管段長度之間的關係旋轉流的旋轉強度用旋轉係數來表示,旋轉係數定義為角動量通量與軸向動量通量的比值:
式中: w———周向速度;
u———軸向速度;
R———管道半徑;
A———流體流過的橫截麵積;
ρ———密度。
對於圓管內的旋轉流,在r= 0.95R處的旋轉
角度*大,即:

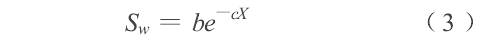
采用多項迭代的方法,可編程計算出在某個X值時(X為圓管直徑D的倍數)滿足一定精度的Sw值:

常數b和c與流體性質、雷諾數和流量有關,需要通過實驗確定。對於不可壓縮流體, b= 0.030~ 0.085, c= 0.10~ 0.50。一般來說,流量越大,旋轉流的衰減越大,由式(3)可以看出,旋轉流發生後的直管段越長,旋轉流的強度越弱,對高精度汽油流量計精度的影響越小。
2.實驗設計與結果分析
為了在實驗過程中能得到理想的旋轉流體,實驗中采用了模擬多種強度旋轉流的發生器,旋轉流發生器安裝在流量計上遊來流的起始點處。實驗采用稱量法,記錄電子稱上的質量脈衝數
N,N乘以質量脈衝常數(0.08333),即得到質量值(kg),同時記錄時間和渦輪變送器的脈衝數,在每個流量點重複做三次,記錄三組數據,共選擇5個流量點來覆蓋高精度汽油流量計的測量量程。流量Q= 0.08333N/t,儀表係數為:

儀表係數K與旋轉數Sw成線性關係,儀表精度為:

其中α、d均為待定係數。根據實驗所得多組脈衝數和流量數據,可計算出儀表精度δ值。按δ- X方程及δ和X數據進行*小二乘法回歸,可確定α和d的數值。一般來說,對不可壓縮流體,α= 1.15~ 2.20, d= 0.016~ 0.11。
3.直管段長度和高精度汽油流量計精度的初步預測在工程設計中,根據流體性質、流量和雷諾數確定α和d值。這樣,按照式(5)就可以依不同的流量計精度要求,對直管段長度進行初步預測,或確定直管段長度後,對流量計的精度做初步預測。當δ= 0.2%時,不同流量下所需直管段長度見表1。

當X= 30時,不同流量下儀表精度見表2

對流量計的精度和直管段的預測,為不同精度要求的高精度汽油流量計選擇適當長度的直管段提供了理論參考。
4.結語
(1)旋轉數Sw與X成指數關係,即隨著下遊距離X的增加,旋轉流強度以指數方式衰減。指數係數c和α值與介質的性質,雷諾數等參數有關。
(2)對於任一旋轉流源,隨著下遊距離X的增加,在大流量區旋轉流強度衰減速度快,而在小流量區,旋轉流強度衰減速度要慢一些,因此,對小流量的流量計管道設計中需要加長直管段,以減少旋轉流對流量計精度的影響。
(3)不論旋轉流的方向如何,流量計越靠近旋轉流源,流量計的精度δ越差,流量計精度可以按式(5)進行初步預測。
對於測量精度和誤差影響91看片下载免费观看也沒有實際的經驗數據,如果測量參數用於過程控製,在工藝能夠接受的範圍內的誤差都是可以的,如果是用於計量,如水,天然氣,油等則應達到其標稱精度,另外用於計量的儀表計量局會對其進行驗收,不達標的不會通過。
如果有條件建議直管段留長一些。
一般孔板的為前10D後5D,也有為前24D後7D的時候,*好是前直管段30~50D為好
高精度汽油流量計為前15D後5D
渦街流量計為前15-20D後5D
對於質量流量計無特殊要求
轉子、橢圓齒輪流量計也無特殊要求
不過一般直管段*好是有,長度盡可能的長。

高精度汽油流量計是一種速度式流量儀表,由於具有結構緊湊、測量精度高、反應速度快、測量範圍廣、價格低廉和安裝方便等優點,而得到廣泛應用。對於貿易結算計量,流量計的精確度是至關重要的。
高精度汽油流量計在測量過程中對直管段的一般性要求為:流量計必須水平安裝在管道上(管道傾斜在5以內),安裝時流量計軸線應與管道軸線同心,流向要一致。 流量計上遊管道長度應有不小於2D的等徑直管段,如果安裝場所充許建議上遊直管段為20D、下遊為5D。
影響高精度汽油流量計精度的主要外部因素是流體的流動狀態,高精度汽油流量計特性曲線要保持良好的線性關係,流過流量計的流體應為充分發展的流型。對流量計的精度和直管段的預測,為不同精度要求的高精度汽油流量計選擇適當長度的直管段提供了理論參考。
影響高精度汽油流量計精度的主要外部因素是流體的流動狀態,高精度汽油流量計特性曲線要保持良好的線性關係,流過流量計的流體應為充分發展的流型。
1.旋轉係數與下遊直管段長度之間的關係旋轉流的旋轉強度用旋轉係數來表示,旋轉係數定義為角動量通量與軸向動量通量的比值:
式中: w———周向速度;u———軸向速度;
R———管道半徑;
A———流體流過的橫截麵積;
ρ———密度。
對於圓管內的旋轉流,在r= 0.95R處的旋轉
角度*大,即:

采用多項迭代的方法,可編程計算出在某個X值時(X為圓管直徑D的倍數)滿足一定精度的Sw值:

常數b和c與流體性質、雷諾數和流量有關,需要通過實驗確定。對於不可壓縮流體, b= 0.030~ 0.085, c= 0.10~ 0.50。一般來說,流量越大,旋轉流的衰減越大,由式(3)可以看出,旋轉流發生後的直管段越長,旋轉流的強度越弱,對高精度汽油流量計精度的影響越小。
2.實驗設計與結果分析
為了在實驗過程中能得到理想的旋轉流體,實驗中采用了模擬多種強度旋轉流的發生器,旋轉流發生器安裝在流量計上遊來流的起始點處。實驗采用稱量法,記錄電子稱上的質量脈衝數
N,N乘以質量脈衝常數(0.08333),即得到質量值(kg),同時記錄時間和渦輪變送器的脈衝數,在每個流量點重複做三次,記錄三組數據,共選擇5個流量點來覆蓋高精度汽油流量計的測量量程。流量Q= 0.08333N/t,儀表係數為:

儀表係數K與旋轉數Sw成線性關係,儀表精度為:

其中α、d均為待定係數。根據實驗所得多組脈衝數和流量數據,可計算出儀表精度δ值。按δ- X方程及δ和X數據進行*小二乘法回歸,可確定α和d的數值。一般來說,對不可壓縮流體,α= 1.15~ 2.20, d= 0.016~ 0.11。
3.直管段長度和高精度汽油流量計精度的初步預測在工程設計中,根據流體性質、流量和雷諾數確定α和d值。這樣,按照式(5)就可以依不同的流量計精度要求,對直管段長度進行初步預測,或確定直管段長度後,對流量計的精度做初步預測。當δ= 0.2%時,不同流量下所需直管段長度見表1。

當X= 30時,不同流量下儀表精度見表2

對流量計的精度和直管段的預測,為不同精度要求的高精度汽油流量計選擇適當長度的直管段提供了理論參考。
4.結語
(1)旋轉數Sw與X成指數關係,即隨著下遊距離X的增加,旋轉流強度以指數方式衰減。指數係數c和α值與介質的性質,雷諾數等參數有關。
(2)對於任一旋轉流源,隨著下遊距離X的增加,在大流量區旋轉流強度衰減速度快,而在小流量區,旋轉流強度衰減速度要慢一些,因此,對小流量的流量計管道設計中需要加長直管段,以減少旋轉流對流量計精度的影響。
(3)不論旋轉流的方向如何,流量計越靠近旋轉流源,流量計的精度δ越差,流量計精度可以按式(5)進行初步預測。
相關資訊
- 汽油流量計常見故障及解決方案
- 汽油流量計不走流量的原因
- 汽油流量計廠家,汽油流量用什麽流量計
- 汽油流量計表頭顯示出現故障的現象分析與解決措施
- 罐車汽油流量計,汽油流量計製造商
- 高精度汽油流量計,汽油流量計廠家
- 測量汽油流量計,汽油跟柴油流量計
- 精準汽油流量計,汽油柴油流量計
- 二寸半汽油流量計,汽油流量計價格
- 汽油流量計廠家,汽油流量計價格
- 測量汽油流量計,汽油柴油流量計
- 罐車汽油流量計,汽油柴油流量計
- 淺析汽油流量計製造商在低流量條件下的粘度響應特性
- 高精度汽油流量計安裝時直管段長度與測量精度的關係
- 測量汽油流量計,汽油流量計廠家
- 汽油流量計廠家,汽油管道流量計價格
- 汽油流量計廠家
- 汽油流量用什麽流量計

