產品目錄
91看片儿免费看
液體流量計
91看片视频免费
油流量計
91看片网站下载
橢圓齒輪流量計
電磁流量計
渦街流量計
蒸汽流量計
孔板流量計
旋進旋渦流量計
熱式氣體質量流量計
轉子流量計
浮子流量計
靶式流量計
氣體流量計
超聲波流量計
磁翻板液位計
浮子液位計
浮球液位計
玻璃管液位計
雷達液位計
超聲波液位計
投入式液位計
壓力變送器
差壓變送器
液位變送器
溫度變送器
熱電偶
熱電阻
雙金屬溫度計
推薦產品
聯係91看片下载免费观看
- 金湖91看片下载免费观看儀表有限公司
- 聯係電話:15195518515
- 在線客服:1464856260
- 電話:0517-86801009
- 傳真號碼:0517-86801007
- 郵箱:1464856260@qq.com
- 網址:http://www.zhongtaijixie.net
- 地址:江蘇省金湖縣理士大道61號
涉及熱水計量表霍爾效應問題易錯點的剖析
發布時間:2021-01-04 08:38:50 點擊次數:2248次
摘要:介紹了學生學習霍爾效應中的幾個易錯點:不同電性載流子對熱水計量表霍爾電壓的影響,現代科技中利用霍爾效應原理器材間的區別與聯係等,通過剖析,理順原理與關係。
涉及熱水計量表的霍爾效應的問題,是近幾年高考物理命題的一個熱點。由於它與現代科技應用聯係緊密,是考查學生運用物理知識解決實際問題能力的好素材。但教學中發現,學生對熱水計量表的霍爾效應問題的理解存在一些誤區,因而每當遇到此類問題時,常常錯誤百出,根據學生中存在的問題,可歸納為以下幾種情況。易錯點1:正、負載流子對霍爾電壓的影響霍爾效應中,霍爾電壓的正負與載流子的電性有關,不像金屬導體,移動的隻是電子,它有多種情形。
情形1:單種載流子。如圖1所示,若載流子帶正電荷,則載流子在洛倫茲力作用下會向下偏轉,導體下表麵積累正電荷。同時,上表麵失去正電荷而帶上負電,從而使下表麵電勢高於上表麵。

反之,如圖2所示,若載流子帶負電荷,則載流子在洛倫茲力作用下會向下偏轉,導體下表麵積累負電荷。同時,上表麵失去負電荷而帶上正電,從而使上表麵電勢高於下表麵。

可見,在磁場、電流方向相同的情況下,單種載流子電性相反,則上下表麵的電勢高低也相反。
情形2:正、負載流子反向運動。如圖3所示,長方體玻璃水槽中盛有NaCl的水溶液,水槽左、右側壁內側各裝一導體片,在溶液中通入水平向右的電流,勻強磁場B垂直紙麵向外。NaCl溶液中既有正離子,又有負離子,根據左手定則可判斷正離子受到向下的洛倫茲力,故向下運動並堆積。同理,負離子也受到指向下的洛倫茲力,也向下運動並堆積。由於正負離子均向下側麵堆積,故上下兩側麵的電勢均為零,但下側麵處離子濃度大於上側麵離子濃度。

情形3:正、負載流子同向運動。如圖4所示,為了監測某化工廠的汙水排放量,技術人員在排汙管末端安裝了流量計。上下兩內側麵分別固定有金屬板作為電*,汙水充滿管口從左向右流經該裝置。汙水向右流動,汙水中既有正離子,又有負離子,在磁場的作用下,根據左手定則,正離子往下表麵偏,負離子往上表麵偏,故下表麵的電勢比上表麵高。

情形2和情形3對比發現,同樣有兩種電性相反的載流子,由於運動方向不同,結果也完全不同。可見,在分析熱水計量表霍爾電壓的問題時,*先應明確載流子的電性和運動方向,在此基礎上才能正確判斷其受力方向和偏轉方向,進而確定電勢的高低。
易錯點2:磁強計、熱水計量表、磁流體發電機、霍爾元件間的區別與聯係磁強計、熱水計量表、磁流體發電機、霍爾元件都是利用電磁場對帶電粒子的偏轉效應,並且穩定時電場力與磁場力均達到平衡。很多學生容易將其混淆,遇到問題常常搞不清原理,亂代公式,筆者特將4者涉及的公式及特點等做一對比區別如表1所示。

易錯點3:兩*板間的電場強度E=U/d中的U到底是電勢差還是電動勢?
粒子偏轉後,若兩*板間聚集等量的異種電荷,相當於一個電源,板間形成電場。穩定時,F電=F磁。若與外電路接通,計算板間場強大小時,其U指電勢差還是電動勢?此時F電和F磁還相等嗎?以下題為例。

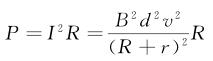
【例1】圖5為磁流體發電機示意圖。設兩金屬板間的距離為d,兩*板間勻強磁場的磁感應強度為B。等離子體垂直進入磁場的速度為v,單個離子所帶的電荷量為q。離子通道(即兩*板內所圍成的空間)的等效電阻為r,負載電阻為R。則下列判斷正確的是( )
A。該發電機的電動勢E=Bdv
B。電阻R兩端的電壓為Bdv
C。該發電機的輸出功率為P=(B2d2v2)/R
D。兩板間的電場強度E=Bv
筆者發現,學生對選項A和B問題不大,根據平衡條件和部分電路歐姆定律即可得出A對,B錯。C容易出錯,疏忽了發電機的內電阻,發動機的輸出功率:

選項D很糾結,究其原因,是對離子的受力情況和運動情況分析不透。
當外接電阻時,電荷在外電路中定向移動,板上電量減少,板間電壓減小,電場減弱,F電<F磁。帶電粒子朝著磁場力的方向偏轉,此時有新電荷不斷補充到兩*板,形成一種動態平衡。由Eq<qvB可得,兩板間的電勢差U<Bdv,故電場強度E<Bv。選項D錯。
可見,隻有未接外電路時,兩板間的電場強度E=Bv才成立。
通過以上歸類、對比和總結,幫助學生理清不同電性載流子對霍爾電勢差正負的影響,正確理解科技領域涉及熱水計量表霍爾效應的測量儀器的原理及相互聯係,同時理清元件中涉及的各物理量間的關係,有助於學生更靈活地運用所學知識。
總之,在教學過程中善於發現、總結學生的易錯點,並設計針對性的教學環節,引導學生進行分析與討論,是提高課堂教學效率的有效途徑之一。
涉及熱水計量表的霍爾效應的問題,是近幾年高考物理命題的一個熱點。由於它與現代科技應用聯係緊密,是考查學生運用物理知識解決實際問題能力的好素材。但教學中發現,學生對熱水計量表的霍爾效應問題的理解存在一些誤區,因而每當遇到此類問題時,常常錯誤百出,根據學生中存在的問題,可歸納為以下幾種情況。易錯點1:正、負載流子對霍爾電壓的影響霍爾效應中,霍爾電壓的正負與載流子的電性有關,不像金屬導體,移動的隻是電子,它有多種情形。
情形1:單種載流子。如圖1所示,若載流子帶正電荷,則載流子在洛倫茲力作用下會向下偏轉,導體下表麵積累正電荷。同時,上表麵失去正電荷而帶上負電,從而使下表麵電勢高於上表麵。

反之,如圖2所示,若載流子帶負電荷,則載流子在洛倫茲力作用下會向下偏轉,導體下表麵積累負電荷。同時,上表麵失去負電荷而帶上正電,從而使上表麵電勢高於下表麵。

可見,在磁場、電流方向相同的情況下,單種載流子電性相反,則上下表麵的電勢高低也相反。
情形2:正、負載流子反向運動。如圖3所示,長方體玻璃水槽中盛有NaCl的水溶液,水槽左、右側壁內側各裝一導體片,在溶液中通入水平向右的電流,勻強磁場B垂直紙麵向外。NaCl溶液中既有正離子,又有負離子,根據左手定則可判斷正離子受到向下的洛倫茲力,故向下運動並堆積。同理,負離子也受到指向下的洛倫茲力,也向下運動並堆積。由於正負離子均向下側麵堆積,故上下兩側麵的電勢均為零,但下側麵處離子濃度大於上側麵離子濃度。

情形3:正、負載流子同向運動。如圖4所示,為了監測某化工廠的汙水排放量,技術人員在排汙管末端安裝了流量計。上下兩內側麵分別固定有金屬板作為電*,汙水充滿管口從左向右流經該裝置。汙水向右流動,汙水中既有正離子,又有負離子,在磁場的作用下,根據左手定則,正離子往下表麵偏,負離子往上表麵偏,故下表麵的電勢比上表麵高。

情形2和情形3對比發現,同樣有兩種電性相反的載流子,由於運動方向不同,結果也完全不同。可見,在分析熱水計量表霍爾電壓的問題時,*先應明確載流子的電性和運動方向,在此基礎上才能正確判斷其受力方向和偏轉方向,進而確定電勢的高低。
易錯點2:磁強計、熱水計量表、磁流體發電機、霍爾元件間的區別與聯係磁強計、熱水計量表、磁流體發電機、霍爾元件都是利用電磁場對帶電粒子的偏轉效應,並且穩定時電場力與磁場力均達到平衡。很多學生容易將其混淆,遇到問題常常搞不清原理,亂代公式,筆者特將4者涉及的公式及特點等做一對比區別如表1所示。

易錯點3:兩*板間的電場強度E=U/d中的U到底是電勢差還是電動勢?
粒子偏轉後,若兩*板間聚集等量的異種電荷,相當於一個電源,板間形成電場。穩定時,F電=F磁。若與外電路接通,計算板間場強大小時,其U指電勢差還是電動勢?此時F電和F磁還相等嗎?以下題為例。

【例1】圖5為磁流體發電機示意圖。設兩金屬板間的距離為d,兩*板間勻強磁場的磁感應強度為B。等離子體垂直進入磁場的速度為v,單個離子所帶的電荷量為q。離子通道(即兩*板內所圍成的空間)的等效電阻為r,負載電阻為R。則下列判斷正確的是( )
A。該發電機的電動勢E=Bdv
B。電阻R兩端的電壓為Bdv
C。該發電機的輸出功率為P=(B2d2v2)/R
D。兩板間的電場強度E=Bv
筆者發現,學生對選項A和B問題不大,根據平衡條件和部分電路歐姆定律即可得出A對,B錯。C容易出錯,疏忽了發電機的內電阻,發動機的輸出功率:

選項D很糾結,究其原因,是對離子的受力情況和運動情況分析不透。
當外接電阻時,電荷在外電路中定向移動,板上電量減少,板間電壓減小,電場減弱,F電<F磁。帶電粒子朝著磁場力的方向偏轉,此時有新電荷不斷補充到兩*板,形成一種動態平衡。由Eq<qvB可得,兩板間的電勢差U<Bdv,故電場強度E<Bv。選項D錯。
可見,隻有未接外電路時,兩板間的電場強度E=Bv才成立。
通過以上歸類、對比和總結,幫助學生理清不同電性載流子對霍爾電勢差正負的影響,正確理解科技領域涉及熱水計量表霍爾效應的測量儀器的原理及相互聯係,同時理清元件中涉及的各物理量間的關係,有助於學生更靈活地運用所學知識。
總之,在教學過程中善於發現、總結學生的易錯點,並設計針對性的教學環節,引導學生進行分析與討論,是提高課堂教學效率的有效途徑之一。
相關資訊
- 熱91看片视频免费的校驗方法
- 熱91看片视频免费不走字的原因分析與處理
- 熱91看片视频免费安裝位置
- 熱91看片视频免费的作用
- 熱91看片视频免费接線圖
- 大口徑熱91看片视频免费選型注意事項
- 熱91看片视频免费量程範圍
- 鍋爐熱91看片视频免费如何選型
- 熱91看片视频免费的種類有哪些
- 熱91看片视频免费的特點
- 熱91看片视频免费使用方法
- 熱91看片视频免费工作原理
- 生活熱91看片视频免费的作用
- 熱91看片视频免费不準是什麽原因
- 熱91看片视频免费的特點參數
- 熱91看片视频免费安裝方法
- 熱91看片视频免费選型參數
- 熱91看片视频免费怎麽讀數
- 熱91看片视频免费的組成圖
- 熱91看片视频免费型號規格
- 熱91看片视频免费的計量要求
- 熱91看片视频免费作用
- 熱91看片视频免费量程範圍
- 熱水計量表,鍋爐熱91看片视频免费價格
- 涉及熱水計量表霍爾效應問題易錯點的剖析
- 關於熱91看片视频免费適用範圍說明與在線校準規範解讀
- 暖氣熱91看片视频免费的基本原理與接地的重要性
- 循環熱水計量表變粘度流量計算與校準
- 關於熱水計量表的試驗設備修正方法研究及校準試驗結果
- 熱水計量表的實驗原理及高粘度變流速自適應研究

