91看片下载免费观看,91看片儿免费看,91看片网站下载,91看片视频免费

歡迎光臨金湖91看片下载免费观看儀表有限公司!本公司主營:渦輪流量計,電磁流量計,渦街流量計,孔板流量計,金屬管浮子流量計,磁翻板液位計等儀器儀表,聯係熱線:15195518515

金湖91看片下载免费观看儀表有限公司LOGO

金湖91看片下载免费观看儀表有限公司

品質保證,服務周到,儀器儀表供應商

--24小時服務熱線--15195518515
當前位置:*頁>>新聞資訊>>涉及循環91看片视频免费霍爾效應問題易錯點的剖析

涉及循環91看片视频免费霍爾效應問題易錯點的剖析

發布時間:2021-01-04 08:30:41  點擊次數:2249次
摘要:介紹了學生學習霍爾效應中的幾個易錯點:不同電性載流子對循環91看片视频免费霍爾電壓的影響,現代科技中利用霍爾效應原理器材間的區別與聯係等,通過剖析,理順原理與關係。
涉及循環91看片视频免费的霍爾效應的問題,是近幾年高考物理命題的一個熱點。由於它與現代科技應用聯係緊密,是考查學生運用物理知識解決實際問題能力的好素材。但教學中發現,學生對循環91看片视频免费的霍爾效應問題的理解存在一些誤區,因而每當遇到此類問題時,常常錯誤百出,根據學生中存在的問題,可歸納為以下幾種情況。易錯點1:正、負載流子對霍爾電壓的影響霍爾效應中,霍爾電壓的正負與載流子的電性有關,不像金屬導體,移動的隻是電子,它有多種情形。
情形1:單種載流子。如圖1所示,若載流子帶正電荷,則載流子在洛倫茲力作用下會向下偏轉,導體下表麵積累正電荷。同時,上表麵失去正電荷而帶上負電,從而使下表麵電勢高於上表麵。

反之,如圖2所示,若載流子帶負電荷,則載流子在洛倫茲力作用下會向下偏轉,導體下表麵積累負電荷。同時,上表麵失去負電荷而帶上正電,從而使上表麵電勢高於下表麵。

可見,在磁場、電流方向相同的情況下,單種載流子電性相反,則上下表麵的電勢高低也相反。
情形2:正、負載流子反向運動。如圖3所示,長方體玻璃水槽中盛有NaCl的水溶液,水槽左、右側壁內側各裝一導體片,在溶液中通入水平向右的電流,勻強磁場B垂直紙麵向外。NaCl溶液中既有正離子,又有負離子,根據左手定則可判斷正離子受到向下的洛倫茲力,故向下運動並堆積。同理,負離子也受到指向下的洛倫茲力,也向下運動並堆積。由於正負離子均向下側麵堆積,故上下兩側麵的電勢均為零,但下側麵處離子濃度大於上側麵離子濃度。

情形3:正、負載流子同向運動。如圖4所示,為了監測某化工廠的汙水排放量,技術人員在排汙管末端安裝了流量計。上下兩內側麵分別固定有金屬板作為電*,汙水充滿管口從左向右流經該裝置。汙水向右流動,汙水中既有正離子,又有負離子,在磁場的作用下,根據左手定則,正離子往下表麵偏,負離子往上表麵偏,故下表麵的電勢比上表麵高。

情形2和情形3對比發現,同樣有兩種電性相反的載流子,由於運動方向不同,結果也完全不同。可見,在分析循環91看片视频免费霍爾電壓的問題時,*先應明確載流子的電性和運動方向,在此基礎上才能正確判斷其受力方向和偏轉方向,進而確定電勢的高低。
易錯點2:磁強計、循環91看片视频免费、磁流體發電機、霍爾元件間的區別與聯係磁強計、循環91看片视频免费、磁流體發電機、霍爾元件都是利用電磁場對帶電粒子的偏轉效應,並且穩定時電場力與磁場力均達到平衡。很多學生容易將其混淆,遇到問題常常搞不清原理,亂代公式,筆者特將4者涉及的公式及特點等做一對比區別如表1所示。

易錯點3:兩*板間的電場強度E=U/d中的U到底是電勢差還是電動勢?
粒子偏轉後,若兩*板間聚集等量的異種電荷,相當於一個電源,板間形成電場。穩定時,F電=F磁。若與外電路接通,計算板間場強大小時,其U指電勢差還是電動勢?此時F電和F磁還相等嗎?以下題為例。

【例1】圖5為磁流體發電機示意圖。設兩金屬板間的距離為d,兩*板間勻強磁場的磁感應強度為B。等離子體垂直進入磁場的速度為v,單個離子所帶的電荷量為q。離子通道(即兩*板內所圍成的空間)的等效電阻為r,負載電阻為R。則下列判斷正確的是(  )
A。該發電機的電動勢E=Bdv
B。電阻R兩端的電壓為Bdv
C。該發電機的輸出功率為P=(B2d2v2)/R
D。兩板間的電場強度E=Bv
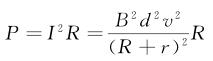
筆者發現,學生對選項A和B問題不大,根據平衡條件和部分電路歐姆定律即可得出A對,B錯。C容易出錯,疏忽了發電機的內電阻,發動機的輸出功率:

選項D很糾結,究其原因,是對離子的受力情況和運動情況分析不透。
當外接電阻時,電荷在外電路中定向移動,板上電量減少,板間電壓減小,電場減弱,F電<F磁。帶電粒子朝著磁場力的方向偏轉,此時有新電荷不斷補充到兩*板,形成一種動態平衡。由Eq<qvB可得,兩板間的電勢差U<Bdv,故電場強度E<Bv。選項D錯。
可見,隻有未接外電路時,兩板間的電場強度E=Bv才成立。
通過以上歸類、對比和總結,幫助學生理清不同電性載流子對霍爾電勢差正負的影響,正確理解科技領域涉及循環91看片视频免费霍爾效應的測量儀器的原理及相互聯係,同時理清元件中涉及的各物理量間的關係,有助於學生更靈活地運用所學知識。
總之,在教學過程中善於發現、總結學生的易錯點,並設計針對性的教學環節,引導學生進行分析與討論,是提高課堂教學效率的有效途徑之一。
網站地圖