產品目錄
91看片儿免费看
液體流量計
91看片视频免费
油流量計
91看片网站下载
橢圓齒輪流量計
電磁流量計
渦街流量計
蒸汽流量計
孔板流量計
旋進旋渦流量計
熱式氣體質量流量計
轉子流量計
浮子流量計
靶式流量計
氣體流量計
超聲波流量計
磁翻板液位計
浮子液位計
浮球液位計
玻璃管液位計
雷達液位計
超聲波液位計
投入式液位計
壓力變送器
差壓變送器
液位變送器
溫度變送器
熱電偶
熱電阻
雙金屬溫度計
推薦產品
聯係91看片下载免费观看
- 金湖91看片下载免费观看儀表有限公司
- 聯係電話:15195518515
- 在線客服:1464856260
- 電話:0517-86801009
- 傳真號碼:0517-86801007
- 郵箱:1464856260@qq.com
- 網址:http://www.zhongtaijixie.net
- 地址:江蘇省金湖縣理士大道61號
成品油流量計誤差檢定
發布時間:2021-04-29 08:49:09 點擊次數:2289次
容積式流量計在流量儀表中是精度高的一類流量測量儀表,其基本原理是利用機械測量元件把流體連續不斷地分割成單個已知的體積部分,根據測量室不斷地重複充滿和排放該體積部分流體的次數來測量流體體積總量。容積式流量計的流量範圍與被測介質的種類(主要決定於流體粘度)、使用特點(連續工作還是間歇工作)、測量準確度等因素有關。在工業流量測量領域,容積式流量計與 差壓式流量計、浮子流量計並列為三類使用量大的流量計,常應用於昂貴介質(油品、天然氣等)的總量測量。容積式流量計有成品油流量計,雙轉子流量計、腰輪流量計、刮板流量計、活塞式流量計等類型,同一容積式流量計,對於介質種類,用於較高粘度的流體時,其流量範圍較大(主要是下限流量可以擴展到較低的量值);對於使用特點,用於間歇測量時,其流量範圍較大(主要是上限流量可以比連續工作時大);對於測量準確度,用於低準確度測量時,其流量範圍較大,而用於高準確度測量時,流量範圍較小。從流量計特性曲線上也可以清楚地看到這一點。
為了保持儀表良好的性能和較長的使用壽命,使用時大流量好應選在儀表大流量的70%-80%。
由於一般的容積式流量計體積龐大,在大流量時會產生較大噪聲,所以一般適合中小流量測量。結合容積式流量計的性能,在需要測量大流量時,可采用45度組合腰輪結構的流量計;在需要低噪聲工作的場合,可選用雙轉子流量計。
成品油流量計是目前測量準確度高的流量計之一。廠家在產品樣本上給出的測量準確裏是指在實驗室參比條件下得到的基本誤差,而在實際使用中,由於現場條件的偏離,必然會帶來附加誤差,實際誤差應該是基本誤差和附加誤差的合成。所以儀表選型時應根據現場可能出現的問題采取措施。
現場條件對測量準確度影響較大的主要有被測介質粘度的影響和溫度的影響。
流體粘度對流量計誤差特性的影響是對於流量的誤差影響較大的因素之一,當實際使用的流體粘度與實驗室檢定時的流體粘度有較大差異時,應進行相應的粘度修正。如果除流體粘度外,其他參數沒有明顯的變化,則可以用進行粘度修正。關於以上所說的流量計的誤差特點,與別的類型的流量計相比較有哪些明顯的不同,用戶在安裝與使用成品油流量計此類的容積式流量計過程中需要注意以下幾點:
①定排量
容積式流量計的定排量是保證容積式流量計精度的重要因素.因此檢測定排量元件的大小和物性是影響因素。
a.溫度。隨著溫度上升,定排量元件材料的體膨脹使容積增大.例如,鋁材料製成的流量計,其溫度的影響比其他材料製成的流量計的影響要大.典型地,每增加1O℃F溫度,誤差增加0.02%。
b.磨損。隨著使用時間的增加,磨損使定排量增大。但通常這種磨損較慢且可預測。
c.黏度。液體的黏度會在檢側元件表麵形成一層薄膜,隨著薄膜厚度的增加,定排量將減小,直到薄膜厚度不再增加(由於部件的摩擦)。
d.塗層和沉澱。與黏度造成檢測元件表麵形成薄膜的原理類似,塗層和沉澱也使檢測元件的定排量減小。對於工況溫度接近熔點溫度的一些含石蠟油的原油,其厚度變化會很大。
②間隙造成泄漏量
容積式流量計中,移動部件和靜止部件之間有間隙,這被稱為毛細管密封。不同的流體差壓造成流體從定排量檢測元件中流失是造成誤差的重要因素。
a.流率。隨著流體差壓的增加,流率增加,因此,漂移也隨之增加,如圖2-79曲線1所示。此外,隨著差壓增加,部件內摩擦和驅動部件轉矩增大,如圖2-79曲線2所示。因此,存在佳流率,使漂移小。

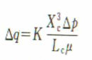
b.黏度.當液體黏度增加時,間隙內不容易流過流體,如圖2-80所示,可用下式確定層流時的泄漏量△q:

式中,K是儀表係數,根據工程單位的不同,其值改變;Xc是間晾寬度;Lc是間隙長度;△p是間隙兩側的差壓;μ是液體的**黏度

上式表明,隨流體黏度增加,流阻增加,差壓隨之增加,造成瀚液量增加。此外,黏度增大,使流體不易流過間隙,因此,漏液量減小。前者以正比方式增大,後者以反比方式減小。
c.摩擦。機械部件的摩擦增加,會消耗更多流體的壓頭來克服摩擦.通常,如果50%大流量時的漂移量大於100%大流量時的漂移量,則表示機械內部的摩擦已經太大,應對有關部件更換。
d.磨損。機械部件磨損造成漂移量增加,間隙的微小增加會造成測量誤差的成倍增加。
例如,0.004in磨損造成的測量誤差是0.002in磨損造成測量誤差的8倍。
上一篇:輸油管道流量計的安裝圖下一篇:成品油流量計計量精度

