產品目錄
91看片儿免费看
液體流量計
91看片视频免费
油流量計
91看片网站下载
橢圓齒輪流量計
電磁流量計
渦街流量計
蒸汽流量計
孔板流量計
旋進旋渦流量計
熱式氣體質量流量計
轉子流量計
浮子流量計
靶式流量計
氣體流量計
超聲波流量計
磁翻板液位計
浮子液位計
浮球液位計
玻璃管液位計
雷達液位計
超聲波液位計
投入式液位計
壓力變送器
差壓變送器
液位變送器
溫度變送器
熱電偶
熱電阻
雙金屬溫度計
推薦產品
聯係91看片下载免费观看
- 金湖91看片下载免费观看儀表有限公司
- 聯係電話:15195518515
- 在線客服:1464856260
- 電話:0517-86801009
- 傳真號碼:0517-86801007
- 郵箱:1464856260@qq.com
- 網址:http://www.zhongtaijixie.net
- 地址:江蘇省金湖縣理士大道61號
渦輪流量計在多相流動測量分層產量時的應用
發布時間:2020-08-30 23:10:33 點擊次數:2287次
摘要:多相生產井中,油、氣、水的密度和流速、粘度分布不均勻,生產測井時渦輪流量計所測的RPS值波動幅度大,導致所確定總流量誤差增大。考慮葉片頂端與邊沿阻力矩及粘度、流速的影響,提出了渦輪流量計在多相流動中的響應方程。計算表明,葉輪表麵,軸承外表麵阻力起主導作用,RPS值主要取決於局部流速和動力粘度的變化。基於所給出的響應方程和實驗結果,建議在多相流動中測量分層總產量時采用集流型渦輪流量計。
在考慮渦輪流量計的葉片受力時,把葉輪看作均勻對稱體。當流體粘度變化不大時,這一簡化所引起的誤差可以忽略;在油氣亦混合物中,由於油、氣、水分布不均勻,使粘度、密度和流速分布也不均勻,因此利用上述模型不能有效地分析渦輪流量計的響應規律。本文把葉輪看作不對稱旋轉體,對葉片上、下表麵作為邊界層分別進行受力分析,同時考慮軸承外表麵摩擦力產生的阻力矩,提出了新的響應方程,並利用實驗方法進行了驗證。
1、葉輪受力分析
圖l(a)是常用渦輪流量計的結構示意圖,葉片展開後的簡化模型如圖1(b)所示。衝擊葉片的局部混合密度為ρm;流體平均速度為U;入口線速度U1;入口相對於葉片的速度W1;入口速度為V1;葉片出口速度V2;出口線速度U2;出口相對於葉片的速度W2。因葉片流通麵積為常數,流入前後的壓力變化很小因此將油、氣、水混合物作為不可壓縮流體處理。公根據連續性原理,流入前後V1=V2,由此可以作出如圖l(b)所示的入、出口速度三角形。為使葉輪旋轉,隻有與圓周速度相同方向上的力才產生驅動力矩。根據動量原理,由流體動量變化在圓周方向上產生的驅動力F為
F=ρmQ(V1tgθ-ωr) (1)
式中,Q為視流量;θ為葉片與軸線間的夾角;r為渦輪平均半徑;ω為渦輪轉動角速度。對於具有m個葉片的渦輪,由F產生的驅動力矩為
T=mFr (2)

實際測井時,Q值受流型和電纜速度的變化而波動,且油井產量可能是波動的,因此流量計的響應將不穩定。為了簡化分析過程,假設流量在短時間內是穩定的,此時驅動力矩等於n個阻力矩T1之和。考慮到葉片結構和流體性質,阻力矩主要包括:
①葉片表麵上由流體粘性摩擦產生的葉片表麵摩擦阻力矩Tf;
②軸承摩擦阻力矩Ts;
③軸承外表而的粘性摩擦產生的軸承外表而阻力矩Ta;
④葉頂邊緣阻力矩Tt;
⑤葉片外邊緣與管子內壁的摩擦產生的葉片邊緣阻力矩Te。
1.1葉片表麵摩擦阻力矩
多相流體衝擊葉片時,假設各相與葉片作用機會均等。因流動方向與葉片夾角很小(0.1°~0.4°),在葉片上不會發生邊界層脫體現象,可以用動量積分描述邊界層內流動

式中,θ1為動量損失厚度;v為動力粘度;x為沿葉片方向上的坐標;H=δ/θ1,δ為排移厚度;μm為混合粘度;Tw為表麵阻力係數。
另S(λ)=Twθ1/μmU;λ=θ1²dU/vdx (λ為形參數)。則式(3)簡化為

流體衝擊葉片時,上、下表麵上的速度分布為

式中,Uu和Ud分別為葉片上、下表麵的速度分布;a為流體進入角。將Uu,Ud分別代入式(4),並采用文獻中λ和H的近似關係式,積分得總的葉片摩擦阻力矩為

式中,c和h分別為葉片的長度和寬度。由上式可見,Tf的大小取決於葉片的安裝結構和流體性質。
1.2軸承摩擦阻力矩
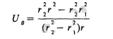
軸承與殼體之間接觸形式簡化為柱狀環,其中充滿了流體,由於間隙很小,流體隻可能是水或油,不可能為氣。軸承摩擦阻力矩是由流體與殼體間的相互摩擦引起的。利用層流流動的N-S方程,可以描述圓柱環中的流速分布規律

式中,Uθ為柱狀坐標中沿θ方向上的線速度;P為圓柱環中的壓力;這裏r代表徑向坐標;r1為軸承外半徑;r2為軸承外殼體內半徑。式(7)為歐拉方程,令r=et(t為中間變量),則t=1nr,對應式(7)的特征方程為
r(r-1)+(r-1)=0
根為r=±1.因此式(7)的解為
根為r=±1.因此式(7)的解為

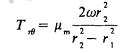
作用在內軸上的切應力Trθ為

總的軸承摩擦阻力矩為

式中,d為軸深;ω為渦輪旋轉角速度;a是高度為d、半徑為r1的圓柱麵麵積。
1.3軸承外表麵阻力矩
文獻認為流體在兩個葉片之間流動時,軸承外表麵上的作用力與軸平行。實際上,流體是以一定角度通過葉片的,所產生的阻力矩不能忽略。采用與式(3)類似的動量方程,軸表麵上的速度取x的四次冪分布(W=Cx4),可以得出Ta的表達式為

式中,rh為軸承外表麵所在柱麵的半徑;Sr為柱麵上兩個葉片所圍成的而積。
1.4其他阻力矩
1)葉頂邊緣阻力矩
根據縫隙流動原理,可以寫出葉頂邊緣阻力矩Tt的表達式

式中,dx為葉頂縫隙的寬度。
2)葉片邊緣阻力矩
利用縫隙流動原理,葉片邊緣阻力矩Te為
Te=mμmωrtdy (11)
式中,r1為葉片邊緣半徑;dy為外邊緣縫隙寬度。
2、響應方程

式中,K=K5/2πK6;K'=K4/K5A5;RPS為流量計測量值。式(15)即為本文給出的響應方程,其中K和K'值取決於葉片的結構。觀察式(15)可知,除了葉片的結構之外,影響RPS值得主要因素為U和μm/ρm。
多相流動中,U和μm/ρm隨溫度、壓力、油氣水的含量的變化而變化。圖3是利用斯倫貝謝的FBS流量計由實驗作出的RPS-Q響應曲線,從圖中可見,隨μm/ρm的突變,RPS值也發生了響應的劇烈變化。
圖4是對哈裏伯頓公司的DDL型高靈敏度流量計進行計算的響應關係(實線)和實驗結果(資料點x)。從圖中(實線為按式(15)計算的實驗結果)可見,兩者符合較好,證實了式(15)的可靠性。

3、分層總流量的測定
在多相流動中,流速和動力粘度分布是不均勻的,為提高多相流動流量的測量精度,一是設法校正流速和動力粘度分布不均勻影響,這往往十分困難;二是采用集流式流量計測量。集流式流量計使所有流體通過葉片而進行測量,與連續型流量計相比有兩個主要特點:
①在較大程度上減少了流速分布不均勻的影響;
②集流後由於流速提高,使動力粘度分布趨於均勻。因此,采用集流式流量計可有效地提高多相流動流量的測量精度。
圖5是對斯倫貝謝公司的集流式流量計進行刻度的結果。實驗所用油、水的密度分別為0.825g/cm³和1g/cm³,用空氣模擬天然氣,油、水、氣的流量變化範圍,考慮了常見油氣水產量和含量的變化。從圖中可見,實驗數據的線性關係良好。圖6是液相流量不變,含氣率在10%~70%間變化時的刻度結果。在總流量(Qm)變化範圍為80~300m³/d時,油水比的變化對RPS-Q響應影響不明顯。因此,多相流動中確定總流量的可靠方法是采用集流式流量計。

4、結論
1)影響渦輪流量計葉輪響應的阻力矩主要是葉片摩擦阻力矩和軸承外表麵阻力矩;影響渦輪流量計測量值得主要因素是流速大小和動力粘度分布。
2)連續流量計通常居中測量,受流速和動力粘度局部分布影響大,在多相流動的井中,尤其是低產條件下,不宜采用連續型渦輪流量計。
3)在多相流動中,測量分層總流量建議采用集流式流量計,因為集流後的流速大幅度提高可使油氣水的流速及動力粘度分布趨於均勻,從而使流量計的響應呈較好的線性關係。
相關資訊
- 91看片网站下载安裝直管段要求
- 91看片网站下载的結構與工作原理
- 91看片网站下载的產品特點和適用範圍
- 91看片网站下载選型指南與外形尺寸
- 渦輪流量計的常見故障及排除
- 渦輪流量表怎麽調節
- 渦輪流量計安裝直管段要求
- 渦輪流量計的適用場合與量程範圍
- 渦輪流量計由什麽組成
- 渦輪流量計的工作原理
- 壓力對渦輪流量計精度的影響
- 91看片儿免费看使用常見問題
- 91看片儿免费看的使用場合
- 91看片儿免费看怎麽接電
- 渦輪流量計的使用範圍
- 渦輪流量計安裝條件與環境要求
- 渦輪流量計安裝在什麽位置
- 91看片儿免费看設置方法
- 91看片网站下载使用環境
- 91看片网站下载使用注意事項
- 91看片网站下载怎麽清洗
- 91看片网站下载適用範圍
- 91看片网站下载為什麽要加油
- 91看片网站下载波動大解決辦法
- 91看片网站下载安裝距離要求
- 91看片网站下载安裝注意事項
- 91看片网站下载應用範圍
- 91看片网站下载常見故障有哪些
- 提高91看片网站下载精度的方法
- 91看片网站下载精度等級

