產品目錄
91看片儿免费看
液體流量計
91看片视频免费
油流量計
91看片网站下载
橢圓齒輪流量計
電磁流量計
渦街流量計
蒸汽流量計
孔板流量計
旋進旋渦流量計
熱式氣體質量流量計
轉子流量計
浮子流量計
靶式流量計
氣體流量計
超聲波流量計
磁翻板液位計
浮子液位計
浮球液位計
玻璃管液位計
雷達液位計
超聲波液位計
投入式液位計
壓力變送器
差壓變送器
液位變送器
溫度變送器
熱電偶
熱電阻
雙金屬溫度計
推薦產品
聯係91看片下载免费观看
- 金湖91看片下载免费观看儀表有限公司
- 聯係電話:15195518515
- 在線客服:1464856260
- 電話:0517-86801009
- 傳真號碼:0517-86801007
- 郵箱:1464856260@qq.com
- 網址:http://www.zhongtaijixie.net
- 地址:江蘇省金湖縣理士大道61號
渦輪流量計機械摩擦與流體阻力對精度的影響
發布時間:2020-08-29 07:01:53 點擊次數:2861次
1、前言
儀表精度有精密度、正確度和準確度之分。精密度也叫重複性誤差,是表示測量結果隨機誤差大小的程度,通常用標準偏差σ或隨機不確定度δM表示,δM =±tσ,t為置信係數。正確度是表示測量結果係統誤差大小的程度,係統誤差E包括,已定係統誤差ε和未定係統誤差±e兩部分,因此正確度可用E=ε±e表示。準確度A是表示測量結果與真值的一致程度,用A=ε±U表示,U為未定係統誤差±e與隨機不確定度δM合成的總不確定度。
91看片网站下载是速度式流量測量儀表,氣動渦輪的轉速是隨著流量增高而線性地增大。因此,渦輪轉速就是流量的量度,通過機械傳動、磁電轉換,形成與流量成正比的電脈衝信號。91看片网站下载具有量程寬、重複性好等優點。在很寬的流量範圍內(量程比Qmax :Qmin 可達 10 :1至 2 0 :1),管內流量與電脈衝信號之間呈線性關係,因此91看片网站下载是測量氣體體積流量的理想儀表。但由於它為速度式儀表,管內氣體流速分布不均和二次流的存在均影響其計量精度,因此,流量計內部結構的設計、管路的設計、氣體體積本身隨壓力、溫度變化的性質、機械阻力以及氣動阻力等各種因素都會對流量計的精度產生影響。隻有*大限度地消除這些因素的不良影響,才能使91看片网站下载達到更高的計量精度。
2、機械摩擦與流體阻力對精度的影響
2.1 91看片网站下载的數學模型
作用在渦輪上的力矩大致分為以下幾個:流體通過渦輪時對葉片產生的推動力矩Tr,流體沿渦輪表麵流動時產生的粘滯摩擦力、渦輪軸與軸承之間、齒輪與齒輪之間等機械摩擦阻力矩Trm,流體通過渦輪時對渦輪的流體阻力矩Trf、磁電轉換器對渦輪產生的電磁反作用阻力矩Tre。由此可以建立渦輪的運動微分方程:

式中:J—渦輪的轉動慣量;ω—渦輪的旋轉角速度。
通常電磁反作用阻力矩Tre比較小,其影響可以忽略。正常工作條件下,可認為管道內流量不**間變化,即渦輪以穩定的角速度旋轉。因此,Tre =0,dω/dt=0,這樣可得穩定工況下的運動微分方程:
Tr-Trf-Trm=0 (2)
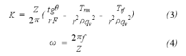
設θ為渦輪葉片與軸線的夾角,F為流通麵積,Z為渦輪葉片數,f為脈衝頻率,ρ為氣體密度,qv為氣體流量,K=f/qv為儀表係數,可得:

式中:r—渦輪葉片平均半徑。
2.2 機械摩擦阻力矩Trm對精度的影響
對於實際的91看片网站下载,渦輪*先必須克服靜摩擦阻力矩後才能轉動,渦輪克服靜摩擦阻力矩所需的*小流量值被稱為該流量計的始動流量值qvmin。當通過流量計的流量小於qvmin時,渦輪不轉,無脈衝信號輸出。當流量相當於始動流量時,渦輪起動,此時,它的角速度很小,可忽略流體阻力矩Trf的影響。式 (3)變為:

由於始動流量時頻率f為零,由式(5)得:

式中:β—渦輪葉片螺旋升角。
分析式(6)可知:機械摩擦阻力矩Trm越小,流量計的始動流量也越小,小流量區段量程越寬。所以,要得到好的小流量特性,*先應減少機械摩擦阻力矩Trm。
2.3 流體阻力矩Trf對精度的影響
當流量大於始動流量以後,隨著流量的增加,渦輪旋轉角速度也在增大,流體產生的阻力矩Trf將成為影響流量計精度的主要因素。所以,91看片下载免费观看假定Trm= 0,式(3)變為:

不同的流動狀態,流體產生阻力的機理不同,下麵對層流流動狀態和紊流流動狀態分別進行討論。
(1)層流流動狀態時的流量計特性
在層流流動狀態時,流體流動阻力與流體粘度μ、渦輪旋轉角速度ω成正比。而ω又與流體流量成正比,所以,流體阻力矩Trf=C1μqv,代入式(7)得:

式中:C1—常數。
在層流流動狀態時,儀表係數K與流體粘度μ變化有關,若粘度不變,儀表係數K將隨流量qv的增加而增加。
(2)紊流流動狀態時的流量計特性
在紊流流動狀態時,流體流動阻力與流體密度ρ和流量qv成正比,此時可不計流體粘度的影響,故Trf=C2 ρqv²,式中C2 為常數,代入式(7)得:

在紊流流動狀態時,儀表係數K與儀表本身結構參數有關,而與流量qv、流體粘度μ等參數無關,可近似為常數。隻有在這種狀態下,儀表係數K才真正顯示了常數的性質。儀表係數K為常數的這個區間,也即該流量計的測量範圍(Qmin~Qmax)。由於層流時流體阻力矩較紊流時要小,故在層流和紊流的交界點上,特性曲線K有一個峰值,流體粘度越大時,該峰值的位置越向大流量方向移動。
3、提高精度的方法
3.1 減少機械阻力
*先應做渦輪的動平衡,因為如果渦輪的質心不在軸線上,則渦輪本身的重量會對軸承增加一個附加動力矩Tr0為:

式中:r1—渦輪質心距軸線的距離;Z1—渦輪葉片數。
軸承受附加動平衡力P2為:

式中:L1—渦輪距軸承的距離。
氣流推動渦輪使軸承受徑向分力P1為:

式中:e2—常數。
P1、P2均影響軸承壽命。若動平衡做得好,則P2為0,使軸承壽命延長。隨著qv的增加,軸承轉速也增加,則軸承壽命會縮短,從而影響流量計精度,所以流量計不允許長時間超過*大流量Qmax運行。另外,應提高加工質量,減少機械摩擦阻力,這對於提高小流量時流量計的精度十分重要。
3.2 克服流體阻力的影響
*先氣動渦輪表麵應光滑,以減小氣體與渦輪的粘滯摩擦力。其次由Trf=C1μqv及層流流動狀態時流體阻力矩Trf的特性可知:儀表係數K將隨流量qv的增加而增加,流量計應避免在流體處於層流狀態時工作,這樣做雖然不能去除氣動阻力,但可消除流體阻力對精度的不利影響。還有渦輪葉片的重疊係數不能太大,否則流體阻力將很大,使流量計精確測量的範圍縮小。
3.3 減少漏氣對91看片网站下载精度的影響
氣動渦輪與內壁之間的間隙如果太大,則會導致大量氣流從間隙處漏掉,降低流體對葉片的推動力矩Tr,從而影響流量計的精度。因此氣動渦輪與內壁之間的間隙一般不大於0.5~1mm。通常用重疊係數來表示軸線上兩相鄰渦輪葉片相互重疊的程度,重疊係數不能太小,否則漏氣量將會增加,通常重疊係數選為1~1.1。
3.4 減少速度分布畸變對流量計精度的影響
流量計的儀表特性直接受流體流動狀態的影響,對其進口處的速度分布尤為敏感。進口流速的突變和流體的旋轉可使測量誤差達到不能允許的程度。在工程上,渦輪流量計前一般有若幹倍管道直徑的直管段,但往往由於直管段長度不夠,進口處流體的旋轉未能徹底消除,或由於安裝流量計時密封墊片突出而改變了流體和渦輪葉片之間的角度,這些影響往往使儀表常數變化2%或更多。為了有效地消除旋轉流,除了在閥門、接頭等阻力件後安裝必要的直管段外,還要保證管道及流量計密封墊片良好定位,不致突出。上遊直管段長度可按下式計算:

式中:L—上遊直管段長度;f—管道內摩擦係數,處於紊流狀態時f=0.0175;Dg—流量計的公稱直徑;k—漩渦速度比,由流量計前管路情況確定(見表1)。

在安裝流量計時,如果直管段的長度受到限製,則可采用整流器來整流。整流器是一束管子或一些直片。無論何種結構,都應注意其截麵的均勻對稱。
4、壓力、溫度及壓縮係數的修正
氣體狀態方程為:
PV=ZRT (14)
式中:P—壓力;T—溫度;R—氣體常數。
由式(14)可知,氣體的體積與壓力、溫度及壓縮係數均有關,91看片网站下载必須把工況下測得的體積數經過壓力、溫度修正換算為標準狀態下的體積值。且當氣體的溫度比較低,壓力比較高時,必須考慮壓縮係數的影響,這樣才能保證高精度的氣體流量計量。換算公式為:

式中:下標0表示標準狀態。
4.1 壓力、溫度修正的必要性
設流量計標定溫度為25℃,壓力為0.1MPa,實際工作時所測氣體介質的溫度為0℃,壓力為0.1MPa,則忽略溫度的影響將會導致的誤差為:

假設流量計標定時,溫度為25℃,壓力為0.1MPa,而實際工作時所測氣體介質的溫度為25℃,壓力為0.105MPa,則忽略壓力的影響將會導致的誤差為:

忽略溫度、壓力的影響導致的誤差很大,所以必須進行溫度、壓力修正。且壓力、溫度傳感器盡可能地選用高精度的產品,若流量計的精度要求為1%,則溫度傳感器至少應精確至0.2℃、壓力傳感器至少應精確至0.2%。
4.2 氣體壓縮係數的修正
(1)壓縮係數修正的必要性壓縮係數是用來衡量實際氣體接近理想氣體程度的參數。壓縮係數隨溫度、壓力而變化,通常用對比壓力Pr和對比溫度Tr的函數關係表示。Pr=P/Pm;Tr=T/Tm。如天然氣的臨界溫度Tm為191.16K,臨界壓力Pm為4.64MPa。若溫度0℃,壓力為0.2MPa,則Pr=0.2/4.64;Tr=273/ 191.16;Z=0.995,如忽略Z值,則造成的誤差為0.502%。
因為整個流量計的總體相對誤差要求在1%或1.5%以內,足見壓力超過0.2MPa就必須考慮壓縮係數的影響。
(2)壓縮係數Z的求得
Z值可根據通用曲線圖確定或利用狀態方程算出。為計算方便,多采用對曲線進行二次擬合的方法來近似求得Z值。在求解Z值的時候,在所研究的對比溫度的範圍內選取了6個均勻分布於研究範圍內的Tr點為參照點(見表2),得到Z與Pr之間的簡單函數關係。通過數據分析,利用*小二乘法對曲線進行擬合,得到Z求值公式如下:
Z(Pr)=A0+A1Pr+A2 (Pr)² (16)

當溫度為T1時,對比溫度為Tr1,壓縮係數為ZT1;當溫度為T2時,對比溫度為Tr2,壓縮係數為ZT2;實際氣體測量中,氣體組分的變化一般不會太大,因此設Tm、Pm值不變。若溫度為T,T1<T<T2,利用線性插值可算出測量點的壓縮係數ZT:

該算法具有較高的精度,且算法簡單,在實際氣體測量中具有較高的使用價值。
5、結論
(1)流量計應采取*佳設計方案,如渦輪葉片的重疊係數選為1~ 1.1,葉片與內壁之間的間隙為0.5~1mm。
(2)提高加工精度,合理選材,盡可能地減少機械摩擦及流體阻力對精度的影響。
(3)需根據管道流量的大小選擇合適的口徑,以保證流量計在其*佳流量範圍內工作。
(4)需保證足夠的前後直管段,如受管線的限製使直管段距離長度不夠,則應在流量計前加裝整流器,盡可能的減少漩渦、二次流和斷麵流速不均等不利因素對流量計精度的影響。
(5)流量計所測得的體積流量值必須進行溫度、壓力及壓縮係數修正。
上一篇:渦輪流量計的測量原理及優勢下一篇:使用的渦輪流量計產生故障原因的解決辦法
相關資訊
- 91看片网站下载安裝直管段要求
- 91看片网站下载的結構與工作原理
- 91看片网站下载的產品特點和適用範圍
- 91看片网站下载選型指南與外形尺寸
- 渦輪流量計的常見故障及排除
- 渦輪流量表怎麽調節
- 渦輪流量計安裝直管段要求
- 渦輪流量計的適用場合與量程範圍
- 渦輪流量計由什麽組成
- 渦輪流量計的工作原理
- 壓力對渦輪流量計精度的影響
- 91看片儿免费看使用常見問題
- 91看片儿免费看的使用場合
- 91看片儿免费看怎麽接電
- 渦輪流量計的使用範圍
- 渦輪流量計安裝條件與環境要求
- 渦輪流量計安裝在什麽位置
- 91看片儿免费看設置方法
- 91看片网站下载使用環境
- 91看片网站下载使用注意事項
- 91看片网站下载怎麽清洗
- 91看片网站下载適用範圍
- 91看片网站下载為什麽要加油
- 91看片网站下载波動大解決辦法
- 91看片网站下载安裝距離要求
- 91看片网站下载安裝注意事項
- 91看片网站下载應用範圍
- 91看片网站下载常見故障有哪些
- 提高91看片网站下载精度的方法
- 91看片网站下载精度等級

