產品目錄
91看片儿免费看
液體流量計
91看片视频免费
油流量計
91看片网站下载
橢圓齒輪流量計
電磁流量計
渦街流量計
蒸汽流量計
孔板流量計
旋進旋渦流量計
熱式氣體質量流量計
轉子流量計
浮子流量計
靶式流量計
氣體流量計
超聲波流量計
磁翻板液位計
浮子液位計
浮球液位計
玻璃管液位計
雷達液位計
超聲波液位計
投入式液位計
壓力變送器
差壓變送器
液位變送器
溫度變送器
熱電偶
熱電阻
雙金屬溫度計
推薦產品
聯係91看片下载免费观看
- 金湖91看片下载免费观看儀表有限公司
- 聯係電話:15195518515
- 在線客服:1464856260
- 電話:0517-86801009
- 傳真號碼:0517-86801007
- 郵箱:1464856260@qq.com
- 網址:http://www.zhongtaijixie.net
- 地址:江蘇省金湖縣理士大道61號
冷凍91看片视频免费量表
發布時間:2020-11-24 05:37:50 點擊次數:2138次
冷凍91看片视频免费量表概述

冷凍91看片视频免费量表工作原理
傳感器是根據法拉*電磁感應定律工作的,如工作原理圖所示:

當導電液體沿測量管在交變磁場與磁力線成垂直方向運動時,導電液體切割磁力線產生感應電勢。在與測量管軸線和磁力線相互垂直的管壁上安裝了一對檢測電*,將這個感應電勢檢出。
則有:
E=BVD
式中:E—感應電勢;
B—磁感應強度;
D —電*間的距離,與測量管內徑相等;
V —測量管內被測流體的平均流速。
式中磁場B是恒定不變的,D為一常數,則感應電動勢E與被測流體的平均流速V成正比。通過測量管橫截麵上的瞬時體積流量Q與流速V之間的關係為:

冷凍91看片视频免费量表特點
1、儀表結構簡單、可靠、無可動部件,工作壽命長.
2、無截流阻流部件,不存在壓力損失和流體堵塞現象.
3、無機械慣性,響應快速,穩定性好,可應用於自動檢測、調節和程控係統.
4、測量精度不受被測介質的種類及其溫度、粘度、密度、壓力等物理理參數的影響.
5、采用聚四氟乙烯或橡膠材質襯裏和HC、HB、316L、Ti 等電*材料的不同組合可適應不同介質的需要.
6、備有管道式、插入式等多種流量計型號.
7、采用EEPROM存貯器,測量運算數據存貯保護安全可靠.
8、具備一體化和分離型兩種形式.
9、高清晰LCD背光顯示.
冷凍91看片视频免费量表技術參數
冷凍91看片视频免费量表選型注意事項
選型的*一步就是對儀表將來的運行現場情況要有具體的、詳細的、明確的了解,主要包括以下幾點:
①測介質成分,以及該介質的電導率 (參見附表2)。電磁流量計既可以測電導率大於5uS/cm液體還可以測液固兩相流,如水煤漿,礦漿,汙水,泥漿,紙漿等,如被測介質中含有大量的鐵磁性固體物質、氣泡或直徑很大的固體顆粒,測量都會受影響,甚至不能測量。一般情況要求氣泡或固體顆粒的體積含量不超過5%,固體顆粒的直徑不大於3mm。
②測量管在任何時刻必須完全充滿介質,電磁流量計在非滿管或空管的情況下不能正常工作。
③現場係統管道的*大壓力不能超過儀表的額定壓力(見傳感器部分)。
④測介質的溫度範圍以及環境溫度範圍,要符合儀表說明書的要求。
⑤現場係統管道的*大流速、*小流速,以及正常流速範圍。*大流速不超過10m/s;為了保證測量精度,*小流速*好大於等於0.3m/s;正常流速*好在1.5m/s-3.0m/s這**速範圍內,這也是儀表*佳測量範圍。
傳感器選型
傳感器的選型主要考慮因素有:傳感器的種類、口徑、壓力、電*材料、內襯材料、防護等級、尺寸大小、連接法蘭等。
①口徑的選擇:如果是新建的項目或設計,在選擇口徑時,應遵循的原則就是:保證正常流速在0.3m/s---10m/s範圍內即可,*優選擇是正常流量在下麵的《口徑、流速、流量的關係表》的斜體紅色數值範圍內。當然,新工程剛上馬,係統流速處於較低狀態,隨著係統的正常運行,流速會處於較高狀態,這時隻要更改現場儀表的量程就能適應,不需要更換儀表。如果現場流速過低,而且現場條件允許的話,可以通過在傳感器的前後加裝變徑管,以滿足要求,
冷凍91看片视频免费量表電*材料的選擇
針對不同的被測介質,考慮到其腐蝕性不同,應選擇不同的電*材料,下表是常用電*和其耐腐性能,詳見附表1。

冷凍91看片视频免费量表內襯材料的選擇
如電*一樣,對於不同的介質,由於其腐蝕性、溫度、磨損性不同,所以要有針對性的選擇內襯材料,下表是常用襯裏材料的性能及其適用範圍,詳見附表1

冷凍91看片视频免费量表安裝點及安裝環境的選取
①選取要點:
係統正常運行時測量管必須保證滿管。如出現非滿管,流量計就不能正常工作,讀數可能是忽大忽小的隨機數;
傳感器上遊要有一定的直管段,但其長度與其它流量儀表(如超聲波流量計)相比較要求較低。上遊如有90°彎頭、T形管、同心異徑管、全開閘閥等擾流件,一般要求離電*中心線(不是傳感器進口斷麵)有5倍直徑(5D)長度的直管段,如是上遊有閘閥且沒有全部打開,一般要求10D長度的直管段;下遊直管段長度一般為2D-3D,或更短;
1.安裝傳感器時盡量保持電*水平位置,以免氣泡覆蓋電*而出現讀數不穩;條件允許傳感器應安在自下而上流動的立管上,這樣管內不易存氣,同時保證工作時是滿管,而且無沉積物生成,還可以減少液體內固體顆粒及雜質對內襯的磨損;
2.注意管道液體流動方向與傳感器的標識一致;
3.盡可能避免測量管出現負壓,如傳感器不可安裝在泵的抽吸側;
4.盡可能避開附近的大電機、大變壓器等,以免引起電磁幹擾;
5.選擇振動較小的位置安裝傳感器;
6.測量不同液體的混合介質時,傳感器應安裝在混合點的上遊,如安裝在下遊,必須裝在混合已經均勻或化學反應充分完成段;
7.盡可能避開周圍環境高濃度腐蝕性氣體;如是一體機要避免雨淋或浸沒以及陽光直照,環境的相對濕度和溫度要符合儀表說明書的要求;
②現場傳感器安裝位置的典型案例

圖1:為了日後係統及流量計的檢修維護方便,條件允許應如此圖安裝旁通管道;
圖2:安在泵的抽吸側,會因管道出現負壓而損壞傳感器內襯,所以應安裝在泵出口側 處,而且N點距離泵盡可能遠些;
圖3:流量計應盡可能安裝在閥門的上遊側處,不應安裝在下遊側處, 如受現場條件限製必須安裝在d點,在閥門未全開時,d點距離閥門至少10D。
圖4:此圖中的e處、f處是優先選擇安裝點, g處是管道*高點易積聚氣泡不宜安裝,h處於下降管段,可能出現非滿管情況,故更不宜安裝。
圖5:水平管道應安裝在稍稍上升的管道區,如圖i處;
圖6:當流量計安裝在如圖示的落差管上時,如落差高度超過5米時,應在流量計的下遊的*高處,如圖j 處,安裝排氣閥;
圖7:當敞口灌入或排放,流量計應安裝在管道的低段區,如圖k處。
③接地
本公司生產的管段式傳感器均是三電*式,其中底部的電*是接液電*,也就是通常說的接地電*,這樣在非金屬絕緣管道或有絕緣內襯的金屬管道上安裝傳感器時,一般情況下無需另加接地環。
出廠時儀表配2根接地線,安裝時要求在與儀表兩端連接的法蘭上各鑽一個M5×10的螺孔,把接地線用M5×8不鏽鋼螺絲牢靠固定在兩邊法蘭上。如下圖示。
通常情況下無需單獨外加接地線,但傳感器上有預留的接地點,以備在特殊環境下如安裝環境有較大幹擾時,通過該處外加接地線保證整個儀表可靠、良好接地以減少幹擾,接地線可采用截麵大於4mm2 的多股銅線,接地電阻應小於10Ω,且不能接在電機、變頻器或其它大電器設備的公共地線上,如下圖示。
電磁流量計是20世紀50~60年代研發出來的流量測量儀表,其流量測量水平隨著電子技術的發展而不斷提高。近年來電磁流量計在我國迅速發展,僅電磁流量計的生產廠家,據不完全統計,國內已有100家左右,很多國外知名電磁流量計生產企業也紛紛落戶中國。
目前電磁流量計已廣泛地被使用於工業過程中各種導電液體的流量測量,如各種酸、堿、鹽等腐蝕性介質,各種漿液流量測量,特別是由於其獨特的優點,大口徑電磁流量計被應用於如城市自來水供應、汙水排放等關係到國計民生、貿易結算的流量計量領域,其在國民經濟中發揮著越來越重要的作用。

冷凍91看片视频免费量表工作原理
傳感器是根據法拉*電磁感應定律工作的,如工作原理圖所示:

當導電液體沿測量管在交變磁場與磁力線成垂直方向運動時,導電液體切割磁力線產生感應電勢。在與測量管軸線和磁力線相互垂直的管壁上安裝了一對檢測電*,將這個感應電勢檢出。
則有:
E=BVD
式中:E—感應電勢;
B—磁感應強度;
D —電*間的距離,與測量管內徑相等;
V —測量管內被測流體的平均流速。
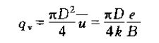
式中磁場B是恒定不變的,D為一常數,則感應電動勢E與被測流體的平均流速V成正比。通過測量管橫截麵上的瞬時體積流量Q與流速V之間的關係為:

冷凍91看片视频免费量表特點
1、儀表結構簡單、可靠、無可動部件,工作壽命長.
2、無截流阻流部件,不存在壓力損失和流體堵塞現象.
3、無機械慣性,響應快速,穩定性好,可應用於自動檢測、調節和程控係統.
4、測量精度不受被測介質的種類及其溫度、粘度、密度、壓力等物理理參數的影響.
5、采用聚四氟乙烯或橡膠材質襯裏和HC、HB、316L、Ti 等電*材料的不同組合可適應不同介質的需要.
6、備有管道式、插入式等多種流量計型號.
7、采用EEPROM存貯器,測量運算數據存貯保護安全可靠.
8、具備一體化和分離型兩種形式.
9、高清晰LCD背光顯示.
冷凍91看片视频免费量表技術參數
| 適用管徑 | DN25~DN2600(DN25以下為非標) (執行標準:JB/T9248-1999) |
| 電*材料 | 316L(不鏽鋼)、HC(哈氏C)、HB(哈氏B)、Ti(鈦)、Ta(鉭) |
| 適用介質 | 導電率>5us/cm的液體 |
| 測量範圍 | 0.1~10m/s(可擴展到15m/s) |
| 量程上限 | 0.5~10m/s,推薦1~5m/s |
| 精度等級 | 0.3級、0.5級、1.0級(隨口徑區分) |
| 輸出信號 | 4~20mADC,負載≤750Ω;0~3KHz,5V有源,可變脈寬,高端有效頻率輸出:RS485接口 |
| 工作壓力 | 1.0MPa,1.6MPa,4.0MPa,16MPa(特殊) |
| 流體溫度 | -20℃~80℃,80℃~130℃,130℃~180℃ 參考襯裏材質 |
| 環境溫度 | 傳感器-40℃~80℃;轉換器-15℃~50℃ |
| 環境溫度 | ≤85%RH(20℃時) |
| 電纜出口尺寸 | M20×1.5 |
| 供電電源 | 220VAC±10%;50Hz±1Hz;24VDC±10% |
| 功 耗 | ≤8W |
| 外殼防護等級 | 一體式:IP65分體式:傳感器IP68轉換器IP65 |
| 接地環材質 | 1Cr18Ni9Ti(不鏽鋼)、HC(哈氏C)、Ti(鈦)、Ta(鉭)、Cu(銅) |
| 連接法蘭 | 國標GB9119-88(DIN2051,BS4504) |
冷凍91看片视频免费量表選型注意事項
選型的*一步就是對儀表將來的運行現場情況要有具體的、詳細的、明確的了解,主要包括以下幾點:
①測介質成分,以及該介質的電導率 (參見附表2)。電磁流量計既可以測電導率大於5uS/cm液體還可以測液固兩相流,如水煤漿,礦漿,汙水,泥漿,紙漿等,如被測介質中含有大量的鐵磁性固體物質、氣泡或直徑很大的固體顆粒,測量都會受影響,甚至不能測量。一般情況要求氣泡或固體顆粒的體積含量不超過5%,固體顆粒的直徑不大於3mm。
②測量管在任何時刻必須完全充滿介質,電磁流量計在非滿管或空管的情況下不能正常工作。
③現場係統管道的*大壓力不能超過儀表的額定壓力(見傳感器部分)。
④測介質的溫度範圍以及環境溫度範圍,要符合儀表說明書的要求。
⑤現場係統管道的*大流速、*小流速,以及正常流速範圍。*大流速不超過10m/s;為了保證測量精度,*小流速*好大於等於0.3m/s;正常流速*好在1.5m/s-3.0m/s這**速範圍內,這也是儀表*佳測量範圍。
傳感器選型
傳感器的選型主要考慮因素有:傳感器的種類、口徑、壓力、電*材料、內襯材料、防護等級、尺寸大小、連接法蘭等。
①口徑的選擇:如果是新建的項目或設計,在選擇口徑時,應遵循的原則就是:保證正常流速在0.3m/s---10m/s範圍內即可,*優選擇是正常流量在下麵的《口徑、流速、流量的關係表》的斜體紅色數值範圍內。當然,新工程剛上馬,係統流速處於較低狀態,隨著係統的正常運行,流速會處於較高狀態,這時隻要更改現場儀表的量程就能適應,不需要更換儀表。如果現場流速過低,而且現場條件允許的話,可以通過在傳感器的前後加裝變徑管,以滿足要求,
冷凍91看片视频免费量表電*材料的選擇
針對不同的被測介質,考慮到其腐蝕性不同,應選擇不同的電*材料,下表是常用電*和其耐腐性能,詳見附表1。

冷凍91看片视频免费量表內襯材料的選擇
如電*一樣,對於不同的介質,由於其腐蝕性、溫度、磨損性不同,所以要有針對性的選擇內襯材料,下表是常用襯裏材料的性能及其適用範圍,詳見附表1

冷凍91看片视频免费量表安裝點及安裝環境的選取
①選取要點:
係統正常運行時測量管必須保證滿管。如出現非滿管,流量計就不能正常工作,讀數可能是忽大忽小的隨機數;
傳感器上遊要有一定的直管段,但其長度與其它流量儀表(如超聲波流量計)相比較要求較低。上遊如有90°彎頭、T形管、同心異徑管、全開閘閥等擾流件,一般要求離電*中心線(不是傳感器進口斷麵)有5倍直徑(5D)長度的直管段,如是上遊有閘閥且沒有全部打開,一般要求10D長度的直管段;下遊直管段長度一般為2D-3D,或更短;
1.安裝傳感器時盡量保持電*水平位置,以免氣泡覆蓋電*而出現讀數不穩;條件允許傳感器應安在自下而上流動的立管上,這樣管內不易存氣,同時保證工作時是滿管,而且無沉積物生成,還可以減少液體內固體顆粒及雜質對內襯的磨損;
2.注意管道液體流動方向與傳感器的標識一致;
3.盡可能避免測量管出現負壓,如傳感器不可安裝在泵的抽吸側;
4.盡可能避開附近的大電機、大變壓器等,以免引起電磁幹擾;
5.選擇振動較小的位置安裝傳感器;
6.測量不同液體的混合介質時,傳感器應安裝在混合點的上遊,如安裝在下遊,必須裝在混合已經均勻或化學反應充分完成段;
7.盡可能避開周圍環境高濃度腐蝕性氣體;如是一體機要避免雨淋或浸沒以及陽光直照,環境的相對濕度和溫度要符合儀表說明書的要求;
②現場傳感器安裝位置的典型案例

圖1:為了日後係統及流量計的檢修維護方便,條件允許應如此圖安裝旁通管道;
圖2:安在泵的抽吸側,會因管道出現負壓而損壞傳感器內襯,所以應安裝在泵出口側 處,而且N點距離泵盡可能遠些;
圖3:流量計應盡可能安裝在閥門的上遊側處,不應安裝在下遊側處, 如受現場條件限製必須安裝在d點,在閥門未全開時,d點距離閥門至少10D。
圖4:此圖中的e處、f處是優先選擇安裝點, g處是管道*高點易積聚氣泡不宜安裝,h處於下降管段,可能出現非滿管情況,故更不宜安裝。
圖5:水平管道應安裝在稍稍上升的管道區,如圖i處;
圖6:當流量計安裝在如圖示的落差管上時,如落差高度超過5米時,應在流量計的下遊的*高處,如圖j 處,安裝排氣閥;
圖7:當敞口灌入或排放,流量計應安裝在管道的低段區,如圖k處。
③接地
本公司生產的管段式傳感器均是三電*式,其中底部的電*是接液電*,也就是通常說的接地電*,這樣在非金屬絕緣管道或有絕緣內襯的金屬管道上安裝傳感器時,一般情況下無需另加接地環。
出廠時儀表配2根接地線,安裝時要求在與儀表兩端連接的法蘭上各鑽一個M5×10的螺孔,把接地線用M5×8不鏽鋼螺絲牢靠固定在兩邊法蘭上。如下圖示。
通常情況下無需單獨外加接地線,但傳感器上有預留的接地點,以備在特殊環境下如安裝環境有較大幹擾時,通過該處外加接地線保證整個儀表可靠、良好接地以減少幹擾,接地線可采用截麵大於4mm2 的多股銅線,接地電阻應小於10Ω,且不能接在電機、變頻器或其它大電器設備的公共地線上,如下圖示。
相關資訊
- 冷凍91看片视频免费怎麽使用
- 冷凍91看片视频免费安裝方式
- 冷凍91看片视频免费安裝位置
- 空調冷凍91看片视频免费安裝規範
- 流量測量中優先考慮使用冷凍水管91看片视频免费的十個原因
- 冷凍水回91看片视频免费
- 空調箱冷凍91看片视频免费在航空工業應用領域中的關鍵作用
- 如何保持螺杆機冷凍水91看片视频免费的準確度及維護和保養
- 水管冷凍91看片视频免费如何測量實驗室條件下質量流量的方法
- 製冷機組的冷凍91看片视频免费技術的*新進展對其流量測量的影響
- 如何進行汙水處理中的水泵冷凍91看片视频免费選型
- 冷凍水回91看片视频免费的工作原理特點及故障現象和采取措施
- 冷凍水泵91看片视频免费流量測量方法選擇及選型
- 冷凍水管91看片视频免费在供水行業中的安裝及使用狀況分析
- 磁場及介質電導率對冷凍水泵91看片视频免费測量的影響分析
- 機組冷凍91看片视频免费常用的三種類型供電方式有什麽不同
- 中央空調冷凍91看片视频免费
- 冷凍91看片视频免费量表,冷凍水流量表
- 管段冷凍91看片视频免费
- 冷凍水管91看片视频免费
- 冷凍91看片视频免费量表,冷凍鹽91看片视频免费
- 冷凍91看片视频免费量表,空調冷凍91看片视频免费
- 冷凍水流量表,空調冷凍91看片视频免费
- 冷凍水流量表,冷凍水回91看片视频免费
- 冷凍水流量表,冷凍鹽91看片视频免费
- 冷凍水流量表,冷凍91看片视频免费量表
- 冷凍水流量表,中央空調冷凍91看片视频免费
- 冷凍91看片视频免费量表,冷凍水回91看片视频免费
- 冷凍91看片视频免费量表
- 空調冷凍91看片视频免费

