產品目錄
91看片儿免费看
液體流量計
91看片视频免费
油流量計
91看片网站下载
橢圓齒輪流量計
電磁流量計
渦街流量計
蒸汽流量計
孔板流量計
旋進旋渦流量計
熱式氣體質量流量計
轉子流量計
浮子流量計
靶式流量計
氣體流量計
超聲波流量計
磁翻板液位計
浮子液位計
浮球液位計
玻璃管液位計
雷達液位計
超聲波液位計
投入式液位計
壓力變送器
差壓變送器
液位變送器
溫度變送器
熱電偶
熱電阻
雙金屬溫度計
推薦產品
聯係91看片下载免费观看
- 金湖91看片下载免费观看儀表有限公司
- 聯係電話:15195518515
- 在線客服:1464856260
- 電話:0517-86801009
- 傳真號碼:0517-86801007
- 郵箱:1464856260@qq.com
- 網址:http://www.zhongtaijixie.net
- 地址:江蘇省金湖縣理士大道61號
空調冷凍91看片视频免费
發布時間:2020-11-24 05:37:38 點擊次數:2203次
空調冷凍91看片视频免费概述

空調冷凍91看片视频免费工作原理
傳感器是根據法拉*電磁感應定律工作的,如工作原理圖所示:

當導電液體沿測量管在交變磁場與磁力線成垂直方向運動時,導電液體切割磁力線產生感應電勢。在與測量管軸線和磁力線相互垂直的管壁上安裝了一對檢測電*,將這個感應電勢檢出。
則有:
E=BVD
式中:E—感應電勢;
B—磁感應強度;
D —電*間的距離,與測量管內徑相等;
V —測量管內被測流體的平均流速。
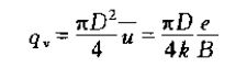
式(1)中磁場B是恒定不變的,D為一常數,則感應電動勢E與被測流體的平均流速V成正比。通過測量管橫截麵上的瞬時體積流量Q與流速V之間的關係為:

空調冷凍91看片视频免费特點
1、管道內無可動部件,無阻流部件,測量中幾乎沒有附加壓力損失。
2、測量結果與流速分布、流體壓力、溫度、密度、粘度等物理參數無關。
3、在現場可根據用戶實際需要在線修改量程。
4、高清晰度背光LCD顯示,全中文菜單操作,使用方便,操作簡單,易學易懂。
5、采用SMD器件和表麵貼裝(SMT),電路可靠性高。
6、采用16位嵌入式微處理器,運算速度快,精度高,可編程頻率低頻矩形波勵磁,提高了流量測量的穩定性,功耗低。
7、全數字量處理,抗幹擾能力強,測量可靠,精度高,流量測量範圍可達150:1。
8、超低EMI開關電源,使用電源電壓變化範圍大,抗EMC好
9、內部具有三個積算器,可分別顯示正向累計量、反向累計量及差值積算量,內部設有不掉電時鍾,可記錄16次掉電時間(選配)。
10、具有RS485、RS232、Hart和Modbus等數字通訊信號輸出(選配)。
11、具有自檢與自論斷功能。
12、紅外手持操作器,115KHZ通訊速率,遠距離非接觸操作轉換器所有功能(選配)。
13、小時總量記錄功能,以小時為單位記錄流量總量,適用於分時計量製(選配)。

空調冷凍91看片视频免费選型
正確地選用電磁流量計是保證用好電磁流量計的前提條件。選用什麽種類的電磁流量計應根據被測流體介質的物理性質和化學性質來決定,使電磁流量計的通徑、流量範圍、襯裏材料、電*材料和輸出電流等,都能適應被測流體的性質和流量的要求。

空調冷凍91看片视频免费電*、接地環材料的選擇
應根據被測流體的腐蝕性來選擇電*的材料,請查有關腐蝕手冊,對於特殊流體應作試驗。

空調冷凍91看片视频免费襯裏材料選擇說明
應根據被測介質的腐蝕性、磨損性和溫度來選擇內襯材料。

電磁流量計由傳感器和轉換器兩部分構成。它是基於法拉*電磁感應定律工作的,用來測量電導率大於5μS/cm導電液體的體積流量,是一種測量導電介質體積流量的感應式儀表。除可測量一般導電液體的體積流量外,還可用於測量強酸強堿等強腐蝕液體和泥漿、礦漿、紙漿等均勻的液固兩相懸浮液體的體積流量。
廣泛應用於石油、化工、冶金、輕紡、造紙、環保、食品等工業部門及市政管理,水利建設、河流疏浚等領域的流量計量。

空調冷凍91看片视频免费工作原理
傳感器是根據法拉*電磁感應定律工作的,如工作原理圖所示:

當導電液體沿測量管在交變磁場與磁力線成垂直方向運動時,導電液體切割磁力線產生感應電勢。在與測量管軸線和磁力線相互垂直的管壁上安裝了一對檢測電*,將這個感應電勢檢出。
則有:
E=BVD
式中:E—感應電勢;
B—磁感應強度;
D —電*間的距離,與測量管內徑相等;
V —測量管內被測流體的平均流速。
式(1)中磁場B是恒定不變的,D為一常數,則感應電動勢E與被測流體的平均流速V成正比。通過測量管橫截麵上的瞬時體積流量Q與流速V之間的關係為:

空調冷凍91看片视频免费特點
1、管道內無可動部件,無阻流部件,測量中幾乎沒有附加壓力損失。
2、測量結果與流速分布、流體壓力、溫度、密度、粘度等物理參數無關。
3、在現場可根據用戶實際需要在線修改量程。
4、高清晰度背光LCD顯示,全中文菜單操作,使用方便,操作簡單,易學易懂。
5、采用SMD器件和表麵貼裝(SMT),電路可靠性高。
6、采用16位嵌入式微處理器,運算速度快,精度高,可編程頻率低頻矩形波勵磁,提高了流量測量的穩定性,功耗低。
7、全數字量處理,抗幹擾能力強,測量可靠,精度高,流量測量範圍可達150:1。
8、超低EMI開關電源,使用電源電壓變化範圍大,抗EMC好
9、內部具有三個積算器,可分別顯示正向累計量、反向累計量及差值積算量,內部設有不掉電時鍾,可記錄16次掉電時間(選配)。
10、具有RS485、RS232、Hart和Modbus等數字通訊信號輸出(選配)。
11、具有自檢與自論斷功能。
12、紅外手持操作器,115KHZ通訊速率,遠距離非接觸操作轉換器所有功能(選配)。
13、小時總量記錄功能,以小時為單位記錄流量總量,適用於分時計量製(選配)。

空調冷凍91看片视频免费選型
正確地選用電磁流量計是保證用好電磁流量計的前提條件。選用什麽種類的電磁流量計應根據被測流體介質的物理性質和化學性質來決定,使電磁流量計的通徑、流量範圍、襯裏材料、電*材料和輸出電流等,都能適應被測流體的性質和流量的要求。

空調冷凍91看片视频免费電*、接地環材料的選擇
應根據被測流體的腐蝕性來選擇電*的材料,請查有關腐蝕手冊,對於特殊流體應作試驗。

空調冷凍91看片视频免费襯裏材料選擇說明
應根據被測介質的腐蝕性、磨損性和溫度來選擇內襯材料。

上一篇:關於dn40柴油流量計正確的安裝步驟下一篇:冷凍91看片视频免费量表
相關資訊
- 冷凍91看片视频免费怎麽使用
- 冷凍91看片视频免费安裝方式
- 冷凍91看片视频免费安裝位置
- 空調冷凍91看片视频免费安裝規範
- 流量測量中優先考慮使用冷凍水管91看片视频免费的十個原因
- 冷凍水回91看片视频免费
- 空調箱冷凍91看片视频免费在航空工業應用領域中的關鍵作用
- 如何保持螺杆機冷凍水91看片视频免费的準確度及維護和保養
- 水管冷凍91看片视频免费如何測量實驗室條件下質量流量的方法
- 製冷機組的冷凍91看片视频免费技術的*新進展對其流量測量的影響
- 如何進行汙水處理中的水泵冷凍91看片视频免费選型
- 冷凍水回91看片视频免费的工作原理特點及故障現象和采取措施
- 冷凍水泵91看片视频免费流量測量方法選擇及選型
- 冷凍水管91看片视频免费在供水行業中的安裝及使用狀況分析
- 磁場及介質電導率對冷凍水泵91看片视频免费測量的影響分析
- 機組冷凍91看片视频免费常用的三種類型供電方式有什麽不同
- 中央空調冷凍91看片视频免费
- 冷凍91看片视频免费量表,冷凍水流量表
- 管段冷凍91看片视频免费
- 冷凍水管91看片视频免费
- 冷凍91看片视频免费量表,冷凍鹽91看片视频免费
- 冷凍91看片视频免费量表,空調冷凍91看片视频免费
- 冷凍水流量表,空調冷凍91看片视频免费
- 冷凍水流量表,冷凍水回91看片视频免费
- 冷凍水流量表,冷凍鹽91看片视频免费
- 冷凍水流量表,冷凍91看片视频免费量表
- 冷凍水流量表,中央空調冷凍91看片视频免费
- 冷凍91看片视频免费量表,冷凍水回91看片视频免费
- 冷凍91看片视频免费量表
- 空調冷凍91看片视频免费

