產品目錄
91看片儿免费看
液體流量計
91看片视频免费
油流量計
91看片网站下载
橢圓齒輪流量計
電磁流量計
渦街流量計
蒸汽流量計
孔板流量計
旋進旋渦流量計
熱式氣體質量流量計
轉子流量計
浮子流量計
靶式流量計
氣體流量計
超聲波流量計
磁翻板液位計
浮子液位計
浮球液位計
玻璃管液位計
雷達液位計
超聲波液位計
投入式液位計
壓力變送器
差壓變送器
液位變送器
溫度變送器
熱電偶
熱電阻
雙金屬溫度計
推薦產品
聯係91看片下载免费观看
- 金湖91看片下载免费观看儀表有限公司
- 聯係電話:15195518515
- 在線客服:1464856260
- 電話:0517-86801009
- 傳真號碼:0517-86801007
- 郵箱:1464856260@qq.com
- 網址:http://www.zhongtaijixie.net
- 地址:江蘇省金湖縣理士大道61號
傘集流三相流渦輪流量計動態測量特性模型建立
發布時間:2020-11-26 08:03:36 點擊次數:1895次
摘要:傘集流器存在非均衡及非線性的油氣水三相流流體漏失,致使傘集流後測量通道內流型複雜多變,建立三相流渦輪流量計物理模型存在困難。基於傘集流渦輪流量計與放射性密度-持水率計組合儀在油氣水三相流流動環中的動態試驗結果,建立了三相流渦輪流量計統計測量模型,該模型考慮了三相流等效“氣液”滑脫速度及流動密度因素,回避了複雜流型對測量模型影響。該模型預測三相流總流量過程相對簡單,且具有良好的計算結果收斂特性。檢驗結果表明,傘集流渦輪流量計與放射性密度-持水率計組合測量可以有效地測量油氣水三相流總流量。
為了適應油井油氣水三相流產出剖麵生產測井需要,大慶油田在原來皮球集流三相流生產測井組合儀基礎上,研製成功了遙測傘集流油氣水三相流生產測井組合儀,該儀器采用了具有64根傘筋及90%集流度的傘集流器,並將耐壓指標提高到30MPa,耐溫指標提高到125℃,采用遙測技術實現了井溫儀、壓力計、渦輪流量計、放射性持水率-密度計等多種傳感器的組合測量。與皮球集流油氣水三相流渦輪流量計測井解釋方法相比,由於傘集流器存在非均衡及非線性的三相流體漏失,導致集流後過流通道內油氣水三相流相間滑脫效應及流態變化複雜。三相流相間界麵相互作用機理十分複雜,從理論上難以直接建立傘集流油氣水三相流渦輪流量計測量物理模型。
井下多相流測井解釋模型可分為統計模型、物理模型、*優化模型及軟測量模型。統計模型直接從含有幾個物理量的測量數據出發,運用回歸分析方法處理這些物理量之間的統計關係,這種方法在物理量之間關係不太複雜且已知大量測試樣本數據情況下,能夠較方便地獲取多相流流動參量之間的統計結果。物理模型則是從多相流動機理出發,建立已知量與待求量之間的數學關係。但是,由於多相流紊流程度高,且流動不穩定及流型多變,所以,目前仍無法在充分考慮各種參數情況下,用較嚴格的多相流體力學方法精確求解流動參量,需對實際物理過程進行簡化,簡化模型與實際物理過程之間差異決定了所建模型的可靠程度。20世紀90年代,Schlumberger*先把*優化分析技術用於多相流測量信息處理,這種方法是根據儀器響應方程來構建實際測量值與理論值差值大小的誤差函數,並利用優化算法尋找待求變量的*優解,正確表達傳感器響應方程及采用先進計算智能技術是優化方法的關鍵環節。郭海敏及鍾興福等曾將該方法應用於大慶油田皮球集流型環空三相流測井資料解釋。
基於傘集流油氣水三相流測井組合儀在大慶油田多相流模擬裝置上的動態響應試驗,本文考察了影響傘集流渦輪流量計測量特性的油氣水三相流參數之間理論關係,建立了傘集流油氣水三相流渦輪流量計統計測量模型,模型中考慮了影響渦輪流量計響應特性的等效“氣液”滑脫速度及流動密度因素,模型試驗結果表明,傘集流渦輪流量計與放射性持水率-密度計組合仍然可以有效地測量油氣水三相流總流量。
1、傘集流三相流渦輪流量計動態測量特性
傘集流油氣水三相流測井組合儀自下而上是傘集流器、渦輪流量計、持水率-密度計、井溫壓力短節和遙測短節。傘集流器張開後,井內流體進入測量通道,由渦輪流量計測量體積流量,由持水率-密度計測量密度和持水率,然後流體流出測量通道,井溫壓力計用來測量井內的溫度和壓力。該儀器仍然采用109 Cd放射源發射的γ和X射線分別確定三相流平均混合密度和持水率,新設計的持水率-密度計在流道結構、密封準直器結構和放射源結構等方麵做了優化,改善了其動態響應特性。
傘集流三相流測井組合儀在多相流模擬井中的動態實驗是在大慶生產測井研究所進行的,垂直上升管中三相流流動工況範圍:水流量為1.5~42m³/d;油流量為1.5~42m³/d;氣流量為0~48.9m³/d;總流量為15~70m³/d;流動密度為0.3~0.7g/cm³;含氣率為28.3%~71.8%;含水率為10%~60%;含油率為10%~60%。實驗共測取了120組按分相流量配比的三相流實驗點。
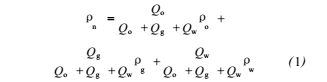
圖1為傘集流條件下渦輪流量計在油氣水三相流條件下渦輪轉速與配比三相流流動密度ρn及總流量Qt之間的實驗關係。油氣水三相流流動密度ρn定義

式中,ρo、ρg、ρw分別為油密度、氣密度及水密度;Qo、Qg、Qw分別為油流量、氣流量及水流量。從圖1中可以看出,對同一個流動密度ρn值,渦輪轉速隨三相流總流量Qt增加而增加,但二者並非是簡單的線性關係;對不同的流動密度ρn值,渦輪轉速與總流量Qt變化規律是不同的,且隨著流動密度ρn增加,渦輪轉速隨總流量Qt變化的靈敏度也在增加。

91看片下载免费观看希望用測量的三相流混合密度ρm來表示流動密度ρn,但是,這二者在實驗測量關係上呈現複雜變化關係(見圖2),需要從多相流流動模型出發,依托密度-持水率計在模擬井中的動態測量結果,來建立確定三相流流動密度的數學模型。

2、傘集流三相流渦輪流量計模型建立
2.1傘集流三相流渦輪流量計統計模型
定義傘集流三相流渦輪流量計儀器因子為

式中,係數A與B均隨流動密度ρm變化,圖3及圖4給出了其實驗擬合關係。為了從方程(4)中求解得到油氣水三相流總流量,需要根據密度-持水率計測量數據確定三相流流動密度ρm的數學模型。
2.2集流後過流通道內三相流流動密度模型及總流量預測
流動密度ρm是求解總流量的關鍵,若要提高總流量預測精度,必須提高流動密度ρn的預測精度。
考慮到集流後中心過流通道內油水相間滑脫影響較小,所以,在建立三相流流動密度模型時,僅考慮等效“氣液”相間滑脫的影響。
由滑脫速度定義有



對全部120組油氣水三相流實驗測量數據進行考察,發現含氣率Kg與流動密度ρm有良好的線性關係(見圖5),即有
Kg=1.00118-1.00241ρn (11)
聯立式(10)及式(11),並結合密度-持水率計在三相流模擬井中實驗數據,可得滑脫速度與混合速度

比值vs/vm與混合密度ρm、含氣率Kg之間的實驗擬合關係(見圖6)。可以看出對於相同的含氣率Kg,vs/vm隨著混合密度ρm的增大而增大,從物理上可以理解為隨著氣液流型向泡狀流方向發展,其相間滑脫影響也逐漸增大。
對於圖6中數據點進行回歸分析,可得到流動密度數學模型

其中,係數C及D隨含氣率Kg的實驗擬合關係如圖7及圖8所示。聯立式(10)、(11)及(12),采用迭代求解法就可以計算得到三相流流動密度值。圖9為計算得到的流動密度與模擬井實驗標定的流動密度比較結果。可以看出,絕大部分實驗點的流動密度預測偏差落在-0.03與0.03誤差線之間(圖9中ρnn表示預測流動密度,ρn為模擬井標定流動密度),其絕對平均誤差為AD=0.018g/cm³,絕對平均相對誤差為AAPD=3.6%,與圖2所示的實驗關係相比,其三相流流動密度的預測精度是令人滿意的。聯立方程(4)、(10)、(11)及(12)式,采用非線性方程組迭代解法就可以預測得到三相流總流量。圖10為預測總流量誤差結果,其絕對平均誤差為AD=2.639m³/d,絕對平均相對誤差為AAPD=5.8%,取得了較高精度的油氣水三相流總流量預測結果。



3、現場應用實例
用本文提出的總流量預測模型共處理了8口含氣油井的三相流測井資料。圖11為北1-2-420井三相流測井資料處理實例,其解釋結果見表1。經對8口含氣油井的實際處理效果表明,傘集流三相流測井組合儀可以較準確地確定油井油氣水三相流產出剖麵。

4、結論
(1)傘集流油氣水三相流測井組合儀由於存在非均衡及非線性的三相流流體漏失,致使集流後過流通道內三相流流型複雜多變。以三相流渦輪流量計測量響應特性為基礎,結合三相流流動密度及等效“氣液”滑脫速度模型,可以建立具有較高總流量預測精度的渦輪流量計半理論半經驗測量模型,為傘集流三相流渦輪流量計建模提供了借鑒。
(2)集流器的導流性能及漏失程度對集流後測量通道內三相流流型特征影響很大,而三相流測井解釋方法難易程度與流型複雜多變特性有直接關係,所以密封效果好、導流均衡及力學與材料性能優異的集流器是油氣水三相流測井技術的重要保障。
相關資訊
- 91看片网站下载安裝直管段要求
- 91看片网站下载的結構與工作原理
- 91看片网站下载的產品特點和適用範圍
- 91看片网站下载選型指南與外形尺寸
- 渦輪流量計的常見故障及排除
- 渦輪流量表怎麽調節
- 渦輪流量計安裝直管段要求
- 渦輪流量計的適用場合與量程範圍
- 渦輪流量計由什麽組成
- 渦輪流量計的工作原理
- 壓力對渦輪流量計精度的影響
- 91看片儿免费看使用常見問題
- 91看片儿免费看的使用場合
- 91看片儿免费看怎麽接電
- 渦輪流量計的使用範圍
- 渦輪流量計安裝條件與環境要求
- 渦輪流量計安裝在什麽位置
- 91看片儿免费看設置方法
- 91看片网站下载使用環境
- 91看片网站下载使用注意事項
- 91看片网站下载怎麽清洗
- 91看片网站下载適用範圍
- 91看片网站下载為什麽要加油
- 91看片网站下载波動大解決辦法
- 91看片网站下载安裝距離要求
- 91看片网站下载安裝注意事項
- 91看片网站下载應用範圍
- 91看片网站下载常見故障有哪些
- 提高91看片网站下载精度的方法
- 91看片网站下载精度等級

