91看片下载免费观看,91看片儿免费看,91看片网站下载,91看片视频免费

歡迎光臨金湖91看片下载免费观看儀表有限公司!本公司主營:渦輪流量計,電磁流量計,渦街流量計,孔板流量計,金屬管浮子流量計,磁翻板液位計等儀器儀表,聯係熱線:15195518515

金湖91看片下载免费观看儀表有限公司LOGO

金湖91看片下载免费观看儀表有限公司

品質保證,服務周到,儀器儀表供應商

--24小時服務熱線--15195518515
當前位置:*頁>>新聞資訊>>氣體渦輪流量表的工作原理與溫度壓力測點的設計

氣體渦輪流量表的工作原理與溫度壓力測點的設計

發布時間:2021-03-10 06:51:20  點擊次數:2049次
摘要:針對流量計在測量氣體和蒸汽流量時需對溫度、壓力補償的問題,根據各流量計的測量原理不同,選擇合適的測溫點和測壓點位置對測量的準確性至關重要。分析了幾種流量計溫度、壓力補償的目的以及溫度、壓力參數的測量要求,提出了測溫口、測壓口開口位置的合理選擇。提供了利用焦耳-湯姆遜係數計算上下遊溫差的實例。
不同原理的流量計,流體溫度和壓力的變化對測量結果的影響各不相同,因此在測得流體的溫度和壓力後,要按規定的關係式進行補償。流體在管道內流動,由於流量傳感器、各種阻流件的影響,在管道的不同部位測得的溫度和壓力值也會有很大差異,因此用作流量測量溫度壓力補償的測量點的位置也有明確規定,不能隨意確定。
下麵以幾種典型流量計為例,論述流量測量中溫度壓力檢測點設計中的有關問題。
氣體渦輪流量表溫度壓力測點的設計
1.1氣體渦輪流量表工作原理
在流體流動的管道中設置1個旋渦發生體(阻流件),於是在發生體下遊就會交替地產生有規則的旋渦,這種旋渦稱為卡曼渦街,該旋渦的頻率與流過發生體的流速成正比關係。由於旋渦流量傳感器的流通截麵積是1個常數,因此旋渦的頻率與流過發生體的流體體積流量成正比,如式(1)所示:

式中:qVf--旋渦發生體出口的工況體積流量,m3/h;f--旋渦頻率,P/s;Kt--工作狀態下流量係數,1/m3。
1.2溫度壓力補償的目的
1.2.1氣體流量測量的溫度壓力補償
在氣體流量測量中,測得工作狀態體積流量不是*終目的,得到標準狀態體積流量才是*終目標。由工作狀態體積流量到標準狀態體積流量的換算,一般在流量演算器中完成,其依據如式(2):

式中:qVf--工況條件下的體積流量,m3/h;qVn--標準狀態體積流量,m3/h;pf,pn--工作狀態、標準狀態流體絕對靜壓,MPa,pn=0.101325MPa;Tf,Tn--工況條件下、標準狀態流體熱力學溫度,K,Tn=293.15K;Zf,Zn--工況條件下、標準狀態氣體壓縮係數。
在式(2)中,Zf和Zn一般由流量演算器按設計好的程序自動計算得到,qVf由式(1)計算得到,而pf和Tf則必須經實測得到。
1.2.2蒸汽流量測量的溫度壓力補償
在蒸汽流量測量中,雖然也有溫度壓力補償,但補償的意義與式(2)完全不同。用氣體渦輪流量表測量蒸汽流量的係統中,測量的目的是得到蒸汽質量流量值,如式(3)所示:

式中:qm--質量流量,kg/h;ρf--工況條件下的旋渦發生體出口蒸汽密度,kg/m3,可通過查蒸汽密度表得到。1)對於過熱蒸汽,可由流量演算器按式(4)自動查蒸汽密度表得到:ρf=f(pf,tf)(4)式中:tf--工況條件下的蒸汽溫度,℃。
2)對於飽和蒸汽,可由流量演算器按式(5)和式(6)自動查蒸汽密度表得到:
ρf=f(pf)(5)
ρf=f(tf)(6)
由於蒸汽的狀態隨溫度壓力參數而變化,因此有些蒸汽流量計安裝地點的蒸汽狀態難以確定,有時處於過熱狀態,有時處於飽和狀態。白天管道內流速高,處於過熱狀態;夜間管道內流速低,進入飽和狀態。這時,應對其溫度壓力都進行測量,由流量演算器自動判斷,如果處於過熱狀態,則儀表自動轉向根據式(4)查過熱蒸汽密度表;如果已進入飽和區間,則儀表自動轉向按式(5)查飽和蒸汽密度表。
利用蒸汽的溫度壓力參數自動判斷蒸汽處於過熱狀態還是飽和狀態,原理如圖1所示。關鍵是判斷蒸汽的溫度壓力值是落在臨界飽和曲線的下方還是上方,如果落在下方,則為過熱狀態;如果落在上方,則為飽和狀態。

在這種情況下,一般壓力測量精確度高,查表得到的密度值的精確度也比較高,因此通常采用式(5)求取密度,式(6)一般不采用。
1.3溫度壓力測量點位置的選取
氣體和蒸汽都是可壓縮流體,在流過渦街流量傳感器時,都會產生一定的壓降。因此,在管道上不同位置開口測流體的絕對靜壓,得到的結果也不同。在旋渦發生體上遊處,靜壓*高;在旋渦發生體流速*高處,靜壓*低,再往下遊,靜壓會有少許恢複。
旋渦發生體前後的永久性壓降,橫河公司提供了計算公式如式(7)所示:△p=1.08ρfv2(7)式中:△p--旋渦發生體前後壓降,Pa;v--介質流速,m/s。
以橫河公司YF100係列旋渦流量計為例,不同型號流量儀用於溫度壓力補償的溫度壓力測量點的安裝位置有不同的要求。壓力測點到旋渦發生體的上限距離與下限距離有很大差異。從3.5D~5.5D到3.5D~7.5D,使設計人員犯難,因此研究該距離對儀表的準確安裝有重要意義。
仔細研究橫河渦街產品的發展曆史,在*CD型儀表發展階段,氣體渦輪流量表*小通徑隻能做到DN25,對於DN25渦街產品,5.5D即為138mm,在法蘭下遊的管道上開取壓口,在工程上還是可行的。但到了*D型儀表發展階段,*小通徑可達到DN15,同樣是5.5D,但對應的尺寸變為83mm,要在如此短的距離上開取壓口,需要放寬距離以滿足工程中的需求。無論哪種情況,實際上兩者本質上是一致的。
2差壓流量計溫度壓力測點位置的設計
差壓式流量計的種類很多,下麵以使用*多的標準差壓式流量計為例,說明溫度壓力測點位置的設計。
2.1差壓流量計工作原理
差壓流量計工作原理如式(8)所示:

式中:C--流出係數;β--直徑比,β=d/D;D--管道內徑,m;d--工作條件下節流件的開孔直徑,m;ε1--節流件正端取壓口平麵上的可膨脹性係數;ρ1--節流件正端取壓口平麵上的流體密度,kg/m3。
差壓流量計的本質是質量流量計,在式(8)中,沒有出現溫度和壓力這兩個變量,但應用這種流量計測量氣體和蒸汽的流量時,流體溫度和壓力的變化,會使式中的密度ρ1產生變化,進而影響流量示值。
對於組分穩定的氣體,可用式(9)計算ρ1:

式中:p1--節流件正端取壓口平麵上的流體壓力,MPa;pn--氣體標準狀態壓力,取值為0.101325MPa;Tf1--節流件正端取壓口平麵上的流體溫度,K;Zf1--工作狀態下氣體壓縮係數,純數;ρn--標準狀態流體密度,kg/m3。
對蒸汽來說,可用式(10)由流量演算器自動查表的方法得到ρ1:
ρ1=f(p1,Tf1)(10)
毫無疑問,式(9)和式(10)都表明,壓力取自正端取壓口,在具體實施時也比較方便,難的是正端取壓口處的流體溫度的測量。
文獻[6]和文獻[7]的相關內容規定:“流體溫度*好在一次裝置下遊測量,測量時需特別小心。溫度計套管或插套所占空間應盡可能小,如果插套位於下遊,其與一次裝置之間的距離至少應為5D,當流體是氣體時,*大為15D。如果套管位於上遊,則根據一次裝置的形式,采用規定的值”。
該標準還規定,一般可以假設差壓口上遊和下遊的流體溫度是相同的。然而,如果流體是非理想流體,而又需要計量準確,且上遊取壓口和一次裝置下遊測溫處又存在較大的壓力損失,則假設兩點之間是等焓膨脹,必須根據下遊溫度計算上遊溫度。對於孔板計算時,應根據下式計算壓力損失△ω。
△ω=(1-β1.9)△p   (11)
式中:△ω--一次裝置壓力損失,Pa。
 然後,可以采用焦耳-湯姆遜係數μJT(JouleThomsonCoefficient)計算上遊取壓口到下遊測溫處的相應溫差△T:
△T=μJT△ω(12)
在式(11),(12)中,式(11)是經常用的,使用並不難,而式(12)使用的並不多,原因是μJT求取有難度。
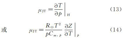
2.2μJT的求取
ISO5167.1-2003的*3.3.4節定義,焦耳-湯姆遜係數又稱等焓溫度-壓力係數,是等焓下相對於壓力的溫度變化速率:

式中:T--絕對(熱力學)溫度;p--流經管道的流體靜壓;H--焓;RO--通用氣體常數;Cm,p--定壓摩爾比熱容;Z--壓縮係數。
3 渦輪流量計溫度壓力測點的設計
渦輪流量計用來測量氣體流量時,也需要進行溫度壓力補償,以便將工作狀態下的體積流量換算到標準狀態體積流量。
該換算所依據的公式與式(2)相同,但是由於測量原理的不同,測壓點的位置有很大的差別。GB/T21391-2008《用91看片网站下载測量天然氣流量》給出了渦輪流量計在管道上典型的安裝圖。同時在文字描述中規定,渦輪葉輪處的靜壓測壓口至少要有1個,孔徑範圍在3~12mm。該標準同時規定,溫度傳感器應安裝在葉輪的下遊端,其離葉輪的距離應小於5D,伸入管道公稱通徑約33%處,但長度不能超過150mm。
4 結束語
1)用來測量氣體和蒸汽流量的流量計,除了個別的流量計之外,都需進行流體溫度、壓力補償。由於流體種類的不同,補償的目的也不盡相同;由於溫度和壓力的變化,對不同原理流量計的影響不相同,因此測溫點和測壓點位置也有不同的要求,隻有合理地確定這些位置,才有可能準確地補償。
2)氣體渦輪流量表用於溫度壓力補償的測壓口,宜選在旋渦發生體下遊的直管段上,應盡可能靠近流量計,但應便於施工和維修(不能選在旋渦體上遊的直管段上)。測溫口應選在測壓口下遊150~200mm處。
3)差壓流量計用於溫度壓力補償的測壓點,應選在差壓正端取壓口處;測溫點一般選在差壓裝置下遊5D~15D處,並假設差壓口上遊和下遊的流體溫度是相同的。如果是非理想氣體,而又需要計量精準,且上遊取壓口和差壓裝置下遊測溫處又存在較大的壓力損失,則可采用焦耳-湯姆遜係數計算上遊取壓口到下遊溫口處的相應溫差△T。
4)基於絕熱膨脹等焓變化的原理,利用蒸汽性質表,可方便地求取適用於蒸汽的焦耳-湯姆遜係數。
5)渦輪流量計用於溫度壓力補償的測壓點,宜設在渦輪葉輪前取壓口處;測溫口應選在葉輪下遊段,離葉輪的距離應小於5D。
網站地圖